Foram encontradas 1.245 questões.
O coeficiente de uniformidade de um solo que apresenta curva granulométrica mais próxima da vertical é
Provas
Questão presente nas seguintes provas
De acordo com a nova NBR 8.800, os módulos de elasticidade longitudinal e transversal do aço devem ser iguais a 200 GPa e 77.000 MPa, respectivamente. Pode-se, então, concluir que o coeficiente de Poisson vale, aproximadamente,
Provas
Questão presente nas seguintes provas
Qual o tipo de fundação adequado quando o lençol freático é raso ou quando a obra se localiza dentro de rio, lagoa ou mar?
Provas
Questão presente nas seguintes provas
Qual é a propriedade do concreto que o ensaio de abatimento do tronco do cone tem por objetivo determinar?
Provas
Questão presente nas seguintes provas
Em um projeto de uma edificação, qual documento define, com precisão, as dimensões dos elementos estruturais?
Provas
Questão presente nas seguintes provas
- Desenho Técnico na Engenharia Civil
- Instalações em Engenharia CivilInstalação Elétrica
- Softwares Aplicados à Engenharia CivilAutoCAD

Deseja-se empregar o software AutoCAD para confeccionar um projeto elétrico. Observando a figura acima e partindo da situação identificada como Inicial, o comando a ser utilizado para que as eletrocalhas passem a ter a configuração indicada na situação Final é
Provas
Questão presente nas seguintes provas
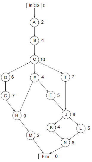
A figura a seguir apresenta a sequência de atividades a serem realizadas em um projeto, sendo a duração das atividades definida em dias.

O tempo final mais tarde da atividade H é
Provas
Questão presente nas seguintes provas
Um material que NÃO serve como isolante acústico é o(a)
Provas
Questão presente nas seguintes provas
A figura a seguir apresenta a sequência de atividades a serem realizadas em um projeto, sendo a duração das atividades definida em dias.

A duração do caminho crítico, em dias, é igual a
Provas
Questão presente nas seguintes provas
A estrutura em treliça da figura é formada por quatro barras com mesma área da seção transversal A, mesmo comprimento e mesmo módulo de elasticidade E.

A treliça possui grau hiperestático igual a
Provas
Questão presente nas seguintes provas
Cadernos
Caderno Container