Foram encontradas 566 questões.
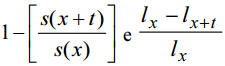
A respeito das tábuas de mortalidade e da função de sobrevivência, julgue o item a seguir.
A probabilidade t
qx de uma pessoa de x anos morrer antes de
completar x + t anos, pode ser expressa pelas seguintes
fórmulas:
, em que s(x) é a função de sobrevivência, e lx , o número de pessoas vivas de x anos.
Provas
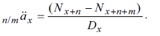
Com relação a rendas financeiras e atuariais, julgue o item seguinte.
Para uma pessoa de x anos de idade, o valor presente de uma série de rendas aleatórias postecipadas, diferida em n anos e temporária de m anos, é definido pela seguinte fórmula de
comutação 
Provas
Acerca da auditoria atuarial no contexto dos planos de benefícios administrados pelas entidades fechadas de previdência complementar, do conceito de improvement aplicado às tábuas biométricas e do cálculo de prêmios, julgue o próximo item.
Nos casos em que houver distribuição de superávit que envolva reversão de valores aos participantes, será obrigatória a realização de auditoria atuarial para avaliar as provisões do plano de benefícios.
Provas
Julgue o item que se segue, relativo ao método atuariai de financiamento (ou acumulação).
O custo normal do método agregado é calculado pela divisão entre a diferença do valor atual dos benefícios futuros e os ativos financeiros vinculados ao plano pelo valor atual da folha salarial dos participantes do plano anualmente.
Provas
Acerca dos métodos de cálculo das provisões matemáticas e das tábuas de múltiplos decrementos, julgue o item seguinte.
No método prospectivo para cálculo das provisões matemáticas, leva-se em consideração a diferença entre os valores atuais dos benefícios futuros menos os valores atuais das contribuições futuras.
Provas
Acerca do saldamento de planos e da migração entre planos, julgue o item que se segue.
A migração resulta do deslocamento voluntário de participantes e assistidos de um plano de benefícios para outro na mesma entidade fechada de previdência complementar.
Provas
No que se refere a custo normal, custo suplementar e nota técnica atuarial, julgue o item seguinte.
A nota técnica atuarial deve observar o regulamento do planoe estabelecer as formas de constituição e de reversão dos fundos previdenciais.
Provas
Acerca da avaliação, dos métodos e das hipóteses atuariais, julgue os próximo item.
Se um plano de benefícios fixou um valor nominal de benefício e estabeleceu, em suas hipóteses atuariais, estimativa de inflação de 6% ao ano até o fim do pagamento dos benefícios, taxas de inflação reais em torno de 12% ao ano fugirão da aderência às hipóteses, por gerarem uma desvalorização monetária acumulada maior que a prevista nos benefícios definidos.
Provas
A respeito da aderência das premissas e das hipóteses e do fluxo de caixa atuarial, julgue o item subsequente.
A comprovação da adequação das hipóteses atuariais às características da massa de participantes e assistidos é exigida para todos os planos de benefícios previdenciários
Provas
A respeito das tábuas de mortalidade e da função de sobrevivência, julgue o item a seguir.
A função de sobrevivência s(x) é uma função discreta decrescente em relação a x e corresponde à probabilidade de um indivíduo sobreviver até a idade x.
Provas
Caderno Container