Foram encontradas 1.486 questões.

A localização de uma subestação deve permitir o fácil acesso a
pessoas, materiais e equipamentos, para operação e manutenção,
bem como deve possuir dimensões adequadas, ventilação e
iluminação natural ou artificial compatíveis com a operação e a
manutenção.
Considere que um transformador possua, em cada fase, reatância igual a 2,1 pu (por unidade). Nesse caso, se a potência base for de 20 MVA e a tensão base for de 15 kV, então a reatância de cada fase do transformador será inferior a 23 Ω.
Provas
Questão presente nas seguintes provas
- Instalações ElétricasAterramentos
- Instalações ElétricasSubestações
- Sistemas Elétricos de PotênciaDistribuição de Energia Elétrica

A localização de uma subestação deve permitir o fácil acesso a
pessoas, materiais e equipamentos, para operação e manutenção,
bem como deve possuir dimensões adequadas, ventilação e
iluminação natural ou artificial compatíveis com a operação e a
manutenção.
Para a proteção contra choque elétrico por contato indireto, cada elemento da subestação, como para-raios, carcaça de transformador, grades e suportes metálicos, deve ter seu aterramento individualizado, interligado às suas respectivas malhas de terra.
Provas
Questão presente nas seguintes provas
Acerca de máquinas de corrente contínua (CC), julgue o item seguinte.
As figuras a seguir ilustram máquinas com enrolamentos de campo autoexcitados.

As figuras a seguir ilustram máquinas com enrolamentos de campo autoexcitados.

Provas
Questão presente nas seguintes provas
Julgue o item, relativo aos campos eletrostático e magnetostático e a forças causadas por campos magnéticos.
Considere a figura a seguir, em que o plano xy representa uma fronteira livre de cargas que separa dois meios dielétricos: o meio z > 0 tem constante dielétrica 2,5; e o meio z < 0 tem constante dielétrica 5. Nessa situação, se as componentes espaciais do campo elétrico E2 são dadas por E2 = (3, 4, 2) V/m, no sistema de coordenadas retangulares, então α1 < 60º < α2.

Considere a figura a seguir, em que o plano xy representa uma fronteira livre de cargas que separa dois meios dielétricos: o meio z > 0 tem constante dielétrica 2,5; e o meio z < 0 tem constante dielétrica 5. Nessa situação, se as componentes espaciais do campo elétrico E2 são dadas por E2 = (3, 4, 2) V/m, no sistema de coordenadas retangulares, então α1 < 60º < α2.

Provas
Questão presente nas seguintes provas
Julgue o item, relativo aos campos eletrostático e magnetostático e a forças causadas por campos magnéticos.
Considere uma espira circular de 1 m de raio, percorrida por uma corrente de 6 A, conforme ilustra a figura a seguir. Nessa situação, o campo magnético, em Wb/m2, no eixo de simetria z,a uma distância de √2m acima do plano da espira é numericamente igual à permeabilidade magnética do meio.

Considere uma espira circular de 1 m de raio, percorrida por uma corrente de 6 A, conforme ilustra a figura a seguir. Nessa situação, o campo magnético, em Wb/m2, no eixo de simetria z,a uma distância de √2m acima do plano da espira é numericamente igual à permeabilidade magnética do meio.

Provas
Questão presente nas seguintes provas

O gráfico abaixo ilustra de forma correta o comportamento da corrente i(t) do circuito.

Provas
Questão presente nas seguintes provas

A constante de tempo do circuito é igual a 5 segundos.
Provas
Questão presente nas seguintes provas

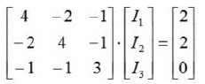
Considerando o circuito mostrado na figura acima, julgue o item a seguir, com relação à análise de circuitos CC.
Provas
Questão presente nas seguintes provas

Considerando o circuito mostrado na figura acima, julgue o item a seguir, com relação à análise de circuitos CC.

Provas
Questão presente nas seguintes provas

As figuras I e II acima ilustram duas situações distintas,
nas quais um circuito elétrico linear foi testado em laboratório. Nos
dois casos, o circuito foi conectado a uma fonte de tensão de 10 V
em série com um resistor de resistência 2 kΩ. Na primeira situação
(figura I), a corrente resultante foi de 0 A; na segunda (figura II), a
corrente obtida foi de 5 mA, no sentido indicado.
Se um resistor de resistência 8 kΩ for conectado ao circuito, a corrente que fluirá por ele será superior a 1,5 mA.
Provas
Questão presente nas seguintes provas
Cadernos
Caderno Container