Foram encontradas 50 questões.
Texto para responder à questão.
Uma empresa hipotética vende dois produtos, X1 e X2, que são
comercializados em diversas lojas. Uma amostra desses produtos
revelou que os preços praticados para X1 é uma variável normal
com média R$ 90,00 e desvio-padrão de R$ 25,00; para X2,
também uma variável normal, a média é R$ 60,00 e
desvio-padrão de R$ 20,00. Sabe-se ainda que esses produtos
muitas vezes são comprados juntos, o que foi confirmado na
correlação de 0,8, encontrada na amostra dos produtos X1 e X2.
Provas
Questão presente nas seguintes provas
Considere o lançamento de um dado cúbico honesto cujas faces
são numeradas de 1 a 6, após o qual é observado se o número da
face voltada para cima é múltiplo de 3. Tendo em vista que um
experimento como esse pode apresentar apenas dois resultados
possíveis (sucesso ou falha), é correto afirmar que tal
experiência denomina-se distribuição
Provas
Questão presente nas seguintes provas
Texto para responder à questão.
Uma empresa hipotética vende dois produtos, X1 e X2, que são
comercializados em diversas lojas. Uma amostra desses produtos
revelou que os preços praticados para X1 é uma variável normal
com média R$ 90,00 e desvio-padrão de R$ 25,00; para X2,
também uma variável normal, a média é R$ 60,00 e
desvio-padrão de R$ 20,00. Sabe-se ainda que esses produtos
muitas vezes são comprados juntos, o que foi confirmado na
correlação de 0,8, encontrada na amostra dos produtos X1 e X2.
Provas
Questão presente nas seguintes provas
Texto para responder à questão.
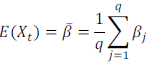
Considere o processo de médias móveis de ordem q, MA(q), dado por

onde
como um processo puramente aleatório, tal que 
Provas
Questão presente nas seguintes provas
- Fundamentos
- Estatística DescritivaMedidas de Dispersão
- Estatística DescritivaMedidas de Tendência Central
Texto para responder à questão.
Considere o processo de médias móveis de ordem q, MA(q), dado por

onde
como um processo puramente aleatório, tal que 
Provas
Questão presente nas seguintes provas
- Fundamentos
- Estatística DescritivaMedidas de Dispersão
- Estatística DescritivaMedidas de Tendência Central
Texto para responder à questão.
Considere que um indicador do custo de vida será feito como
a soma ponderada dos preços de cinco alimentos
(Xi
, i = 1, ..., 5), a partir da coleta em 25 cidades. A
construção desse indicador foi feita com base na análise de
componentes principais. O quadro seguinte resume os dados
para a construção desse indicador:

Provas
Questão presente nas seguintes provas
- Fundamentos
- Estatística DescritivaMedidas de Dispersão
- Estatística DescritivaMedidas de Tendência Central
Texto para responder à questão.
Considere que um indicador do custo de vida será feito como
a soma ponderada dos preços de cinco alimentos
(Xi
, i = 1, ..., 5), a partir da coleta em 25 cidades. A
construção desse indicador foi feita com base na análise de
componentes principais. O quadro seguinte resume os dados
para a construção desse indicador:

Provas
Questão presente nas seguintes provas
Texto para responder à questão.
Considere que um indicador do custo de vida será feito como
a soma ponderada dos preços de cinco alimentos
(Xi
, i = 1, ..., 5), a partir da coleta em 25 cidades. A
construção desse indicador foi feita com base na análise de
componentes principais. O quadro seguinte resume os dados
para a construção desse indicador:

Provas
Questão presente nas seguintes provas
Determinado centro comercial fará um estudo a respeito do
consumo per capita dos clientes. Como o número de clientes
é variável, assim como o respectivo consumo, optou-se como
estimador a razão entre o rendimento total anual das famílias
(YT) e o número total de adultos da família (XT), sendo essas
variáveis estimadas a partir de uma amostra de famílias.
Assim, o interesse é estimar a razão
, com base em
uma amostra aleatória simples de tamanho n. Então, há dois
estimadores naturais:
Com base nessa situação hipotética, e quanto aos estimadores r1 e ,r2, assinale a alternativa correta.
Com base nessa situação hipotética, e quanto aos estimadores r1 e ,r2, assinale a alternativa correta.
Provas
Questão presente nas seguintes provas
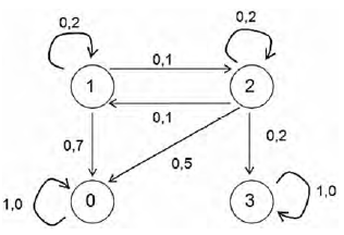
Texto para responder à questão.

O diagrama apresentado modela o que ocorre com as cobaias
durante as fases de teste de um tratamento experimental ao
longo de n meses. Nesse tratamento, existem duas fases
(estados 1 e 2, respectivamente) em que a cobaia pode ter de
repetir a fase, sendo que a conclusão (estado 3) ocorre
somente após a fase 2; também pode haver morte da cobaia
(estado 0) a qualquer tempo do teste.
Provas
Questão presente nas seguintes provas
Cadernos
Caderno Container