Foram encontradas 90 questões.
As reações orgânicas são de fundamental importância para o desenvolvimento da Ciência, desde a síntese de novos materiais até a produção de fármacos.
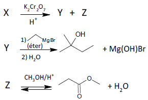
Observe a sequência reacional apresentada a seguir, em que X, Y e Z representam compostos orgânicos distintos.

A partir da análise da sequência apresentada, é correto afirmar que o
Provas
O avanço da tecnologia e da medicina exige técnicas e materiais sintéticos cada vez mais específicos. Os materiais atualmente utilizados em suturas adsorvíveis, por exemplo, são poliésteres biodegradáveis, que sofrem hidrólise simples da cadeia em meio aquoso, ou seja, no próprio fluido corporal. Assim, ao longo da cicatrização os pontos vão sendo hidrolisados, não sendo necessária a remoção da sutura.
Um exemplo de desse tipo de material é o poliácido glicólicolático (PGLA), formado por dois hidroxi-ácidos distintos, cuja estrutura é representada a seguir.

Assinale a opção que apresenta as fórmulas moleculares dos dois monômeros que formam o PGLA.
Provas
Alguns insetos sociais – cupins, formigas, vespas e abelhas – produzem compostos denominados Hidrocarbonetos Cuticulares (HCC), utilizados no seu reconhecimento dentro das colônias. A partir desses compostos, é possível saber, por exemplo, se um inseto é macho ou fêmea, operária ou rainha.
Os HCC incluem uma variedade de compostos como alcanos e alcenos de cadeia normal, monometilalcanos com ramificação terminal, monometilalcanos com ramificação interna, dimetilalcanos e trimetilalcanos.
Assinale a opção que apresenta a estrutura que melhor representa um exemplo de HCC.
Provas
Leia com atenção o fragmento a seguir.
“Em um lugar da floresta, galhos de árvores estão cobertos por densos mantos de orquídeas. Perto dali a copa de uma árvore enorme avança sobre as demais da mesma espécie, cobrindo-as lentamente.”
O fragmento exemplifica dois tipos de relações entre seres vivos. São eles, respectivamente,
Provas
Analise a tira a seguir, em que uma abelha operária conversa com um zangão.

O zangão da tira, que tem mãe e não tem pai, resulta do desenvolvimento de uma célula reprodutora
Provas
Ao comparar vertebrados na década de 1830, o embriologista Martin Rathke descreveu os arcos faríngeos, estruturas que se desenvolvem em partes do aparato branquial em peixes, mas também nas mandíbulas e orelhas de mamíferos. Em termos evolutivos, brânquias e orelhas são homólogas.
CHAMARY. 50 ideias de biologia que você precisa conhecer. São Paulo: Planeta do Brasil, 2019.
Estruturas homólogas são caracterizadas como as
Provas
A fotossíntese é o fenômeno no qual a energia luminosa é utilizada para transformar substâncias inorgânicas em glicídios, fundamentais para as células. Na primeira etapa da fotossíntese, moléculas chamadas de pigmentos fotossensíveis, como as clorofilas e os carotenoides, recebem a energia luminosa, o que desencadeia uma sequência de eventos que culmina com a produção da glicose.
O gráfico a seguir mostra como as clorofilas a e b são estimuladas pela energia luminosa.

Da luz que chega aos vegetais, o comprimento de onda, que menos estimula as clorofilas a e b a realizar o processo fotossintético, é o que corresponde à cor
Provas
Analise a figura a seguir.

Em relação ao desenvolvimento embrionário, o animal representado acima, pertence ao filo dos
Provas
Em condições normais, o pH sanguíneo mantém-se em torno de 7,35 a 7,45. De forma a evitar alterações nesse valor, nosso organismo utiliza mecanismos precisos de regulação, envolvendo os sistemas respiratório e excretor.
A figura a seguir, ilustra um desses mecanismos, que é o sistema tampão formado pelo ácido carbônico e o íon bicarbonato, presentes no sangue.

Com relação à manutenção do pH sanguíneo, analise as afirmativas a seguir e assinale (V) para a verdadeira e (F) para a falsa.
( ) Quando uma pessoa passa a respirar muito rapidamente (hiperventilação), ocorre a diminuição da concentração de CO2 no sangue, ocasionando redução do pH (acidose).
( ) Em indivíduos sadios, o valor do pH do sangue coletado na veia pulmonar é ligeiramente menor que o valor do pH do sangue coletado na artéria pulmonar.
( ) Os rins colaboram com a manutenção do pH sanguíneo através da secreção de íons H+ e da reabsorção de íons bicarbonato.
As afirmativas são, segundo a ordem apresentada, respectivamente,
Provas
Além de fundamentais para a manutenção da vida das células, as enzimas são biomoléculas utilizadas em processos industriais de diferentes áreas, como a de alimentos, papel, têxteis e medicamentos.
Sobre a importância das enzimas, assinale a afirmativa correta.
Provas
Caderno Container