Foram encontradas 890 questões.
Dois parâmetros adimensionais importantes na análise de escala das equações do movimento são o número de Rossby e o número de Richardson.
Sobre eles, é correto afirmar:
Provas
Embora previsões de tempo baseadas em média de conjunto de previsões (ensemble forecasting) de um mesmo modelo ou de modelos diferentes sejam mais acuradas e consideravelmente menos descontínuas do que previsões determinísticas (deterministic forecasting) há certa resistência na sua utilização devido às seguintes razões:
1. não são genuinamente uma representação 3D da dinâmica da atmosfera.
2. são menos capazes de representar eventos extremos ou anômalos.
3. podem levar à inconsistência entre diferentes variáveis; por exemplo, o campo do vento e seu balanço de energia.
Assinale a alternativa que indica todas as afirmativas corretas.
Provas
A figura abaixo mostra como um processo real de transporte de determinada escala deve ser representado em um modelo numérico.

Em (a) o tamanho linear da grade é R e em (b) é R/2. Para cada uma das resoluções R e R/2 do modelo, o transporte seria mais adequadamente descrito, respectivamente, como:
Provas
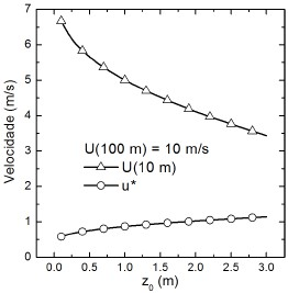
Testes de sensibilidade por meio da variação do comprimento de rugosidade, z0, são úteis para avaliar o desempenho de modelos para diferentes ocupações do solo. Para avaliar a parametrização de camada limite superficial neutra de um novo modelo numérico é realizado esse tipo de teste de sensibilidade. A magnitude do vento livre, U(z = 100 m), é constante e igual a 10 m/s em todas as simulações. O deslocamento do plano zero é suposto ser desprezível (d0 = 0). A figura abaixo mostra como da magnitude do vento no nível de 10 m e também a velocidade de atrito u* variam em função de z0.

É correto afirmar que o comportamento de U(z = 10 m) (triângulos) e u* (círculos):
Provas
Com relação às características de barotropia e baroclinia da atmosfera, é correto afirmar:
Provas
O cisalhamento do vetor vento geostrófico (Vg), também chamado de vento térmico, em termos de suas componentes, é dado aproximadamente por:
\( {\large{\partial U_g \over \partial z}} = - {\large{g \over fT}} {\large{\partial T \over \partial y}} \quad ; \quad {\large{\partial V_g \over \partial z}} = {\large{g \over fT}} \large{\partial T \over \partial x} \)
onde os símbolos têm seus significados usuais, e a contribuição devido ao gradiente vertical de temperatura é suposta desprezível.
As condições para que haja cisalhamento vertical somente na magnitude de Vg e para que haja cisalhamento vertical somente na direção de Vg são, respectivamente:
Provas
A simulação do ciclo diário do vento sobre área continental em certo modelo de meso-escala é mostrada abaixo esquematicamente.

Seis níveis do modelo são avaliados.
É correto afirmar que, nessa simulação, o ciclo diário do vento:
Provas
Com relação à previsão numérica de tempo (PNT), considere as seguintes afirmativas:
1. a forma numérica (quantitativa) mais simples de se prever o tempo é baseada na conservação de vorticidade no nível não divergente de 300 hPa.
2. as condições iniciais dos modelos de PNT são fornecidas por esquemas de assimilação de dados que corrigem erros sistemáticos da variada gama de observações globais existente atualmente.
3. os limites de previsibilidade determinística de modelos de PNT estão relacionados ao crescimento dos erros iniciais.
Assinale a alternativa que indica todas as afirmativas corretas.
Provas
Para movimentos de escala sinótica, a afirmação:
“distúrbios (1) podem ser muito mais intensos que distúrbios (2) .” é explicada através da equação da (3) que para tal escala espacial varia apenas em função da convergência/divergência de vorticidade absoluta.
Assinale a alternativa que completa corretamente as lacunas numeradas do texto.
Provas
Considere o diagrama Skew-T dado pela figura:

Com base no diagrama apresentado, analise as afirmativas abaixo:
1. A área sinalizada por A representa a energia potencial convectiva disponível (CAPE) para a flutuação (empuxo) conforme a parcela ascende, indicando o potencial de instabilidade e de convecção profunda.
2. A linha indicada por B indica o perfil da temperatura do ponto de orvalho para cada nível de pressão; a temperatura do ponto de orvalho é utilizada nos cálculos do índice de estabilidade de Showalter (IES) e do Índice de tempo severo Total Totals (ITT).
3. A área indicada por C representa a quantidade de energia necessária para levantar a parcela até o nível de convecção espontânea (NCE).
Assinale a alternativa que indica todas as afirmativas corretas.
Provas
Caderno Container