Foram encontradas 185 questões.
As placas que indicam saída de emergência brilham no escuro, pois apresentam substâncias que fosforecem na cor amarelo-esverdeada após exposição à luz ambiente, conforme a figura.

Esse fenômeno ocorre pela presença do sulfeto de zinco (ZnS), dopado com prata ou cobre, na superfície da placa.
Zinc Sulphide Phosphorescence. Disponível em: https://physicsopenlab.org. Acesso em: 8 nov. 2023 (adaptado).
O aparecimento do brilho nessas condições ocorre como consequência de
Provas
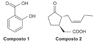
Os pesticidas naturais vêm sendo utilizados no controle de pragas e doenças agrícolas como substituintes de pesticidas sintéticos tradicionais, por serem menos nocivos ao ambiente, biodegradáveis e minimizarem custos e riscos relativos à lavoura. Por exemplo, os compostos 1 e 2 estão envolvidos nas respostas de defesa das plantas. Os grupos funcionais presentes nesses compostos são importantes para suas propriedades no controle de pragas.

PINTO-ZEVALLOS, D. M.; ZARBIN, P. H. G. A química na agricultura: perspectivas para o desenvolvimento de tecnologias sustentáveis. Química Nova, n. 10, 2013 (adaptado).
Qual é a função orgânica correspondente ao grupo funcional comum presente nesses dois compostos?
Provas
A hidroxiapatita, Ca5(PO4)3OH, é um mineral constituinte do esmalte dos dentes. Entre as diversas reações que ocorrem no meio bucal, encontram-se em equilíbrio as reações de desmineralização e mineralização da hidroxiapatita em meio aquoso, ilustradas a seguir. A desmineralização está associada à fragilização do esmalte do dente e à formação de cáries.

O uso de creme dental pode minimizar a perda da hidroxiapatita. O quadro apresenta o agente de polimento e o pH de alguns cremes dentais comerciais.
| Creme dental |
Agente de polimento | pH |
| I | Bicarbonato de sódio | 9,5 |
| II | Carbonato de cálcio | 11,0 |
| III | Citrato de potássio | 7,7 |
| IV | Dióxido de silício | 6,9 |
| V | Fosfato de cálcio | 7,3 |
STORGATTO, G. A.; BRAIBANTE, M. E. F.; BRAIBANTE, H. T. S. A química na odontologia. Química Nova na Escola, v. 39, fev. 2017 (adaptado).
Considerando o equilíbrio químico envolvido, qual creme dental promove a maior desmineralização do esmalte do dente?
Provas
O magnésio metálico utilizado em ligas leves é produzido em um processo que envolve várias etapas e utiliza água do mar como matéria-prima. A primeira etapa desse processo consiste na reação entre o íon Mg2+ e hidróxido de cálcio, Ca(OH)2, obtendo uma mistura que contém hidróxido de magnésio, pouco solúvel, e íons Ca2+, de acordo com a equação química:
Mg2+ (aq) + Ca(OH)2 (aq) → Mg(OH)2 (s) + Ca2+ (aq)
O método adequado para separar o Mg(OH)2 dessa mistura é a
Provas
A pessoa com deficiência de qualquer modalidade — seja visual, auditiva, física ou mental — encontra-se em uma posição de grande vulnerabilidade em relação às pessoas sem deficiência, sendo frequentemente marcante a assimetria das relações de poder na interação entre ambas. Tal assimetria de relação hierárquica é multiplicada conforme a severidade de cada caso, sendo ampliada se a pessoa com necessidades especiais pertencer a um outro grupo de risco, por exemplo, se for mulher ou criança.
PASIAN, M. S. A negligência parental e a relação com a deficiência: o que mostra a pesquisa nacional. Revista Educação Especial, n. 53, set.-dez. 2015 (adaptado).
A realidade abordada no texto indica a necessidade de se promover uma ética interpessoal centrada no
Provas
Atribuo a causa desse florescimento estéril a um sistema de educação falso, extraído de livros sobre o assunto escrito por homens que, ao considerar as mulheres mais como fêmeas do que como criaturas humanas, estão mais ansiosos em torná-las damas sedutoras do que esposas afetuosas e mães racionais. O entendimento do sexo feminino tem sido tão distorcido por essa homenagem ilusória de que as mulheres civilizadas de nosso século, com raras exceções, anseiam apenas inspirar amor, quando deveriam nutrir uma ambição mais nobre e exigir respeito por suas capacidades e virtudes.
WOLLSTONECRAFT, M. Reivindicação dos direitos da mulher. São Paulo: Boitempo, 2016.
Nesse texto, escrito no século XVIII, a autora reivindica para as mulheres a
Provas
As capas dos folhetos de cordel, já então ilustradas por postais fotográficos, desenhos ou fotogramas de filmes, demoravam mais de uma semana para serem transformadas em clichês em Recife ou Fortaleza, o que levou a que santeiros e artesãos locais fossem requisitados para cortar na umburana — madeira preferida para o taco xilográfico pela facilidade do talhe e abundância — princesas, dragões, cangaceiros.
CARVALHO, G. Xilogravura: os percursos da criação popular. Revista do Instituto de Estudos Brasileiros, n. 39, 1986 (adaptado).
No início do século XX, a incorporação da técnica de produção descrita no texto promoveu uma renovação da
Provas
TEXTO I
“As novelas brasileiras foram as primeiras a aparecer na TV russa ainda na época de Gorbachov, nos anos 1980. Elas causaram sensação. Houve casos anedóticos, como quando o Parlamento da Federação Russa terminou a sessão mais cedo para ver o último capítulo de Escrava Isaura”, conta o russo Anatoli Sostanov, consultor na área de TV internacional e ex-diretor da emissora estatal russa Canal.
Disponível em: www.bbc.com. Acesso em: 16 out. 2021
TEXTO II
As novelas de maior impacto em Angola foram as produções brasileiras. Fizeram tanto sucesso que um mercado popular, na época era o maior a céu aberto na África, chegou a receber o nome de Roque Santeiro, novela brasileira exibida naquele país na década de 1980. A influência das produções brasileiras fez com que os angolanos conhecessem o Brasil por meio das novelas. Além de entreter, os folhetins brasileiros até hoje ditam a moda em Angola. Figurinos e acessórios de personagens se transformam em uma verdadeira febre e influenciam o comportamento.
Disponível em: https://tvbrasil.ebc.com.br. Acesso em: 16 out. 2021 (adaptado).
Embora situados em continentes diferentes com práticas sociais distintas, Rússia e Angola se aproximam, conforme os textos I e II, no aspecto
Provas
Uma fábrica na qual os operários fossem, efetiva e integralmente, simples peças de máquinas executando cegamente as ordens da direção pararia em quinze minutos. O capitalismo só pode funcionar com a contribuição constante da atividade propriamente humana de seus subjugados que, ao mesmo tempo, tenta reduzir e desumanizar o mais possível.
CASTORIADIS, C. A instituição imaginária da sociedade. Rio de Janeiro: Paz e Terra, 1982.
O texto apresenta uma contradição interna do capitalismo caracterizada pela
Provas
Espaços públicos não são produtos dados e acabados, uma instituição que, uma vez estabelecida, traria a paz da consensualidade e a perfeita igualdade. São os lugares em que os problemas aparecem e se transformam em debates, em diálogo e em possibilidade de ajuste e compromissos. Por isso, não anulam os conflitos, ao contrário, são canais de comunicação e de visibilidade de oposições.
GOMES, P. C. C. Espaço público, espaços públicos. Geographia, n. 44, set.-dez. 2018 (adaptado).
As características descritas no texto exibem a importância dos espaços públicos para a
Provas
Caderno Container