Foram encontradas 185 questões.
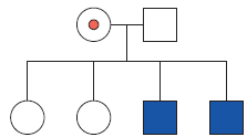
Um dos exemplos mais conhecidos de herança recessiva ligada ao cromossomo X é o daltonismo. Como em qualquer distúrbio recessivo ligado ao cromossomo X, existem muito mais homens apresentando o fenótipo com esse tipo de daltonismo do que mulheres. Um casal formado por um homem não daltônico e por uma mulher gestante também não daltônica, mas portadora do gene recessivo para esse tipo de daltonismo, está esperando um bebê. Em uma das consultas de pré-natal, o casal recebeu um heredograma que contém todas as possibilidades de genótipo para esse bebê.
Considere a legenda:

GRIFFITHS, A. et al. Introdução à genética. Rio de Janeiro:
Guanabara Koogan, 2016 (adaptado).
Qual heredograma foi recebido pelo casal?
Provas
O exoesqueleto dos crustáceos é formado por quitina e impregnações de sais calcários e, por isso, é mais duro quando comparado com o exoesqueleto de outros artrópodes. Esse revestimento externo confere proteção, mas, por ser duro, limita o crescimento desses animais.
Para superar essa limitação, o exoesqueleto deve ser
Provas
O Cerrado e a Amazônia abrigam grande número de serpentes popularmente conhecidas como cobras-corais. Na Amazônia predominam as corais-verdadeiras, que são peçonhentas, enquanto no Cerrado prevalecem as falsas-corais, que não possuem peçonha. Essas espécies apresentam um padrão de coloração muito semelhante. Essa similaridade traz uma vantagem tanto para as corais falsas como para as verdadeiras.
FRANÇA, F. G. R. [...] serpentes corais em ambientes campestres, savânicos e florestais da América do Sul. Brasília: UnB, 2008 (adaptado).
Nas fotografias, são apresentados exemplos dessas serpentes: uma coral-verdadeira e uma falsa-coral.

SILVA, L. C.; COTTA, G. A.; RESENDE, F. C. Cobra-coral: aplicativo educativo para reconhecimento das cobras-corais do estado de Minas Gerais, Brasil. Herpetologia Brasileira, n. 1, 2021 (adaptado).
Qual é a vantagem dessa similaridade para as falsas-corais?
Provas
As fibras musculares esqueléticas não são todas iguais. As fibras lentas, também conhecidas como fibras vermelhas, apresentam muitas mitocôndrias e são bem supridas por vasos sanguíneos. Já as fibras rápidas, ou fibras brancas, apresentam poucas mitocôndrias e recebem menor suprimento sanguíneo. Dessa forma, a distribuição das fibras nos músculos esqueléticos do corpo auxilia de forma diferenciada no desempenho físico de um atleta.
SADAVA, D. et al. Vida: a ciência da biologia — volume III: plantas e animais. Porto Alegre: Artmed, 2009 (adaptado).
Um atleta que sonha em disputar os Jogos Olímpicos e tem uma maior proporção de fibras brancas que fibras vermelhas teria mais vantagens na realização da prova de:
Provas
Sistemas agroflorestais (SAFs)
Os sistemas agroflorestais alinham os interesses econômicos aos ecológicos. Esses sistemas podem ser usados na recuperação ambiental de áreas degradadas que se tornaram pouco produtivas, como as utilizadas por muito tempo para pastagem. Para isso, num primeiro momento, as árvores nativas são plantadas em conjunto com culturas agrícolas anuais, como feijão, mandioca, milho e abóbora, que geram renda para os proprietários da terra e incentivam a manutenção do sistema. Em um segundo momento, são introduzidas outras espécies, como trepadeiras e arbustos, de acordo com um arranjo espacial e temporal preestabelecido. Nesse processo, ocorrerão mudanças graduais na estrutura e composição das comunidades vegetais ao longo do tempo, que culminarão no aumento da diversidade do ambiente.
Disponível em: www.embrapa.br. Acesso em: 9 dez. 2021 (adaptado).
O conjunto dessas mudanças graduais é análogo ao processo natural denominado
Provas
Com base em testes realizados em ratos, concluiu-se que os compostos nitrosos são substâncias mutagênicas, ou seja, produzem mutações nas células e possivelmente câncer. Esses compostos podem ser obtidos pela reação entre o nitrito de sódio, que é um conservante adicionado às carnes, e o ácido clorídrico. O ácido nitroso produzido irá reagir com compostos nitrogenados, como as aminas, dando origem aos compostos nitrosos.
Em qual órgão esse processo será iniciado?
Provas
Impactos do microplástico
A ação de fatores abióticos aliada à biodeterioração contribuem para a formação de microplásticos, os quais se aderem a outros poluentes orgânicos apolares persistentes, como os derivados de pesticidas lipossolúveis. Há uma proporcionalidade direta entre a solubilidade desses tipos de poluentes e sua concentração nos tecidos dos organismos expostos a eles.
Disponível em: www.ecycle.com.br. Acesso em: 9 dez. 2021 (adaptado).
Em animais vertebrados, essa associação de poluentes será preferencialmente acumulada no tecido
Provas
As autoridades sanitárias brasileiras têm se preocupado muito nos últimos anos com o aumento da ocorrência de doenças transmitidas por mosquitos, principalmente arboviroses como chikungunya e zika, que se tornaram epidêmicas ou endêmicas em áreas urbanas. Parte de uma análise da relação entre a urbanização e a incidência dessas doenças está representada no fluxograma.

ALMEIDA, L. S.; COTA, A. L. S.; RODRIGUES, D. F. Saneamento, arboviroses e determinantes ambientais: impactos na saúde urbana. Ciência & Saúde Coletiva, v. 25, n. 10, 2020 (adaptado).
Nesse contexto, como a urbanização está causando riscos à saúde humana?
Provas
Uma agricultora, com a intenção de comercializar o milho recém-colhido, testou uma forma de preservar o sabor adocicado do seu produto. O melhor resultado foi obtido quando ela imergiu as espigas em água fervente durante alguns minutos e, em seguida, em água gelada. Com esse procedimento, parte da glicose do milho não foi transformada em amido, mantendo o seu sabor adocicado.
Utilizando esse procedimento, o sabor foi conservado porque houve
Provas
Metabolismo de procariontes
O esquema representa a ação de organismos no ciclo do nitrogênio e no ciclo do carbono. Os números correspondem a algumas etapas dos dois ciclos distintos.

Disponível em: https://pt.khanacademy.org. Acesso em: 27 jun. 2024 (adaptado).
Em qual etapa numerada ocorre uma transformação redox como a que ocorre nos procariontes nitrificantes?
Provas
Caderno Container