Foram encontradas 180 questões.
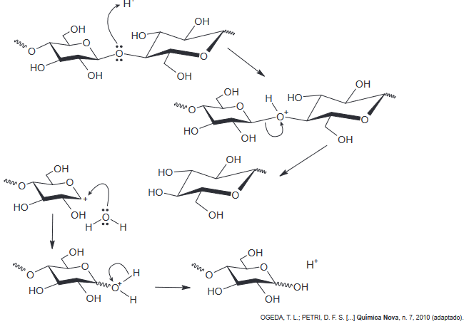
A biomassa celulósica pode ser utilizada para a produção de etanol de segunda geração. Entretanto, é necessário que os polissacarídeos sejam convertidos em mono e dissacarídeos, processo que pode ser conduzido em meio ácido, conforme mostra o esquema:

Nessa conversão de polissacarídeos, a função do íon H+ é
Provas
A penicilamina é um medicamento de uso oral utilizado no tratamento de várias doenças. Esse composto é excretado na urina, cujo pH se situa entre 5 e 7. A penicilamina, cuja fórmula estrutural plana está apresentada, possui três grupos funcionais que podem ser ionizados:
• carboxila: —COOH, cujo pKa é igual a 1,8;
• amino: —NH2 , que pode ser convertido em amínio (—NH3 + , cujo pKa é igual a 7,9);
• tiol: —SH, cujo pKa é igual a 10,5.
Sabe-se que pKa = −log Ka .

Qual estrutura derivada da penicilamina é predominantemente encontrada na urina?
Provas
O etanol é um combustível produzido a partir da fermentação da sacarose presente no caldo de cana- -de-açúcar. Um dos fatores que afeta a produção desse álcool é o grau de deterioração da sacarose, que se inicia após o corte, por causa da ação de microrganismos. Foram analisadas cinco amostras de diferentes tipos de cana-de- -açúcar e cada uma recebeu um código de identificação. No quadro são apresentados os dados de concentração de sacarose e de microrganismos presentes nessas amostras.
| Amostra de cana-de-açúcar | |||||
| RB72 | RB84 | RB92 | SP79 | SP80 | |
| Concentração inicial de sacarose (g L-1 ) | 13,0 | 18,0 | 16,0 | 14,0 | 17,0 |
| Concentração de microrganismos (mg L-1 ) | 0,7 | 0,8 | 0,6 | 0,5 | 0,9 |
Pretende-se escolher o tipo de cana-de-açúcar que conterá o maior teor de sacarose 10 horas após o corte e que, consequentemente, produzirá a maior quantidade de etanol por fermentação. Considere que existe uma redução de aproximadamente 50% da concentração de sacarose nesse tempo, para cada 1,0 mg L−1 de microrganismos presentes na cana-de-açúcar.
Disponível em: www.inovacao.unicamp.br. Acesso em: 11 ago. 2012 (adaptado).
Qual tipo de cana-de-açúcar deve ser escolhido?
Provas
O urânio é empregado como fonte de energia em reatores nucleares. Para tanto, o seu mineral deve ser refinado, convertido a hexafluoreto de urânio e posteriormente enriquecido, para aumentar de 0,7% a 3% a abundância de um isótopo específico — o urânio-235. Uma das formas de enriquecimento utiliza a pequena diferença de massa entre os hexafluoretos de urânio-235 e de urânio-238 para separá-los por efusão, precedida pela vaporização. Esses vapores devem efundir repetidamente milhares de vezes através de barreiras porosas formadas por telas com grande número de pequenos orifícios. No entanto, devido à complexidade e à grande quantidade de energia envolvida, cientistas e engenheiros continuam a pesquisar procedimentos alternativos de enriquecimento.
ATKINS, P.; JONES, L. Princípios de química: questionando a vida moderna e o meio ambiente. Porto Alegre: Bookman, 2006 (adaptado).
Considerando a diferença de massa mencionada entre os dois isótopos, que tipo de procedimento alternativo ao da efusão pode ser empregado para tal finalidade?
Provas
Os riscos apresentados pelos produtos dependem de suas propriedades e da reatividade quando em contato com outras substâncias. Para prevenir os riscos devido à natureza química dos produtos, devemos conhecer a lista de substâncias incompatíveis e de uso cotidiano em fábricas, hospitais e laboratórios, a fim de observar cuidados na estocagem, manipulação e descarte. O quadro elenca algumas dessas incompatibilidades, que podem levar à ocorrência de acidentes.
| Substância | Incompatibilidade | Riscos |
| Ácidos | Bases fortes Cianetos Hipoclorito de sódio | Reação enérgica, |
| Ácido nítrico | Matéria orgânica | Reação enérgica, |
Considere que houve o descarte indevido de dois conjuntos de substâncias:
(1) ácido clorídrico concentrado com cianeto de potássio;
(2) ácido nítrico concentrado com sacarose.
Disponível em: www.fiocruz.br. Acesso em: 6 dez. 2017 (adaptado).
O descarte dos conjuntos (1) e (2) resultará, respectivamente, em
Provas
A figura ilustra esquematicamente um processo de remediação de solos contaminados com tricloroeteno (TCE), um agente desengraxante. Em razão de vazamentos de tanques de estocagem ou de manejo inapropriado de resíduos industriais, ele se encontra presente em águas subterrâneas, nas quais forma uma fase líquida densa não aquosa (DNAPL) que se deposita no fundo do aquífero. Essa tecnologia de descontaminação emprega o íon persulfato (S2 O8 2−), que é convertido no radical •SO4 − por minerais que contêm Fe(III). O esquema representa de forma simplificada o mecanismo de ação química sobre o TCE e a formação dos produtos de degradação.

Esse procedimento de remediação de águas subterrâneas baseia-se em reações de
Provas
TEXTO I
Interseccionalidade: intercruzamento de desigualdades que gera padrões complexos de discriminação.

Considerando o conceito apresentado no Texto I e os dados apresentados no Texto II, no Brasil, são fatores que intensificam o fenômeno da discriminação:
Provas
Após sete anos da ocupação de um terreno abandonado em Santo André, no ABC paulista, os condomínios Novo Pinheirinho e Santos Dias foram inaugurados, com a presença de representantes dos governos federal, estadual e municipal. A ocupação começou em 2012 e, desde então, o movimento vinha reivindicando o direito de usufruir do espaço para a construção de casas. A Carta Magna, em seu art. 6º, garante a todos os brasileiros o direito à moradia.
PUTTI, A. Disponível em: www.cartacapital.com.br. Acesso em: 13 nov. 2021 (adaptado).
O texto apresenta uma estratégia usada pelo movimento social para
Provas
TEXTO I
A primeira grande lei educacional do Brasil, de 1827, determinava que, nas “escolas de primeiras letras” do Império, meninos e meninas estudassem separados e tivessem currículos diferentes. No Senado, o Visconde de Cayru foi um dos defensores de que o currículo de matemática das garotas fosse o mais enxuto possível. Nas palavras dele, o “belo sexo” não tinha capacidade intelectual para ir muito longe: — Sobre as contas, são bastantes [para as meninas] as quatro espécies, que não
estão fora do seu alcance e lhes podem ser de constante uso na vida.
TEXTO II
No Senado, o único a defender publicamente que as meninas tivessem, em matemática, um currículo idêntico ao dos meninos foi o Marquês de Santo Amaro (RJ). Ele argumentou: — Não me parece conforme, às luzes do tempo em que vivemos, deixarmos de facilitar às brasileiras a aquisição desses conhecimentos [mais aprofundados de matemática]. A oposição que se manifesta não pode nascer senão do arraigado e péssimo costume em que estavam os antigos, os quais nem queriam que suas filhas aprendessem a ler.
WESTIN, R. Senado Notícias. Disponível em: www12.senado.leg.br. Acesso em: 20 out. 2021 (adaptado).
Os discursos expressam pontos de vista divergentes respectivamente pela oposição entre
Provas

O ápice da ilustração se traduz por uma conduta social caracterizada pela
Provas
Caderno Container