Foram encontradas 418 questões.
Provas
Provas
Provas
Calcule as reações de apoio na viga a seguir, sujeita a um carregamento distribuído linear conforme a figura. (Considere o sentido positivo das reações para cima).

Marque a alternativa que apresenta a opção CORRETA.
Provas
Os agregados podem constituir de 65% a 80% do concreto. Como compõem parte expressiva do concreto, possuem grande importância e devem atender às seguintes condições:
I. serem estáveis nas condições de exposição do concreto.
II. apresentarem resistência à compressão e ao desgaste.
III. serem graduados objetivando reduzir o volume da pasta.
IV. quando de granulometria única, devem apresentar resistência à tração.
Marque a opção que apresenta as afirmativas CORRETAS.
Provas
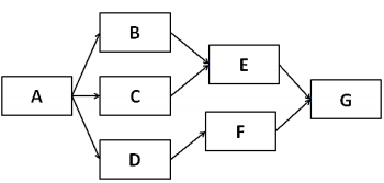
Observe o gráfico de atividades de um determinado projeto.

O tempo de cada atividade está relacionado na tabela a seguir:
Atividade | Tempo (dias) | Atividade | Tempo (dias) |
A | 1 | E | 1 |
B | 1 | F | 2 |
C | 3 | G | 1 |
D | 1 | - | - |
Qual o caminho crítico do projeto?
Provas
Provas
Provas
Provas
As licitações são ambientes propícios à atuação de cartéis que podem agir contra o interesse público de diversas formas. Analise o conjunto de modalidades de ilícitos que podem ser praticados e correlacione a coluna B pela coluna A, com a melhor descrição de cada ilícito relacionado a seguir.
COLUNA A
I. Fixação de preços.
II. Rodízio.
III. Divisão do mercado.
IV. Direcionamento privado da licitação.
COLUNA B
( ) Há definição antecipada de quem irá vencer um determinado certame.
( ) Há acordo firmado entre concorrentes para aumentar ou fixar preços e impedir que as propostas fiquem abaixo de um “preço base”.
( ) Divisão de um conjunto de licitações entre os membros do cartel em que estes deixam de concorrer entre si para cada uma delas.
( ) Acordo pelo qual os concorrentes alternam-se entre vencedores de uma licitação específica e repetindo procedimento para licitações posteriores.
Marque a opção que apresenta a sequência CORRETA.
Provas
Caderno Container