Foram encontradas 706 questões.
Uma grande preocupação nos sistemas atuais é a responsividade,
devido à grande diversidade de dispositivos com acesso à
Internet e disponibilidade de navegadores Web. Uma técnica
para garantir a responsividade é a organização do conteúdo em
colunas oferecida pelo Bootstrap.
Considerando uma página que oferece a divisão do espaço em 4 colunas para telas médias, enquanto dispositivos com telas menores devem apresentar 2 linhas e 2 colunas, a configuração deve ser:
Considerando uma página que oferece a divisão do espaço em 4 colunas para telas médias, enquanto dispositivos com telas menores devem apresentar 2 linhas e 2 colunas, a configuração deve ser:
Provas
Questão presente nas seguintes provas
Scrum é uma metodologia ágil para o desenvolvimento de
sistemas que se baseia em histórias de usuário, priorizadas em
termos do valor para o cliente, com o desenvolvimento
fragmentado em períodos de prazo determinado, conhecidos
como sprints. Tem sido considerada uma boa estratégia, trazendo
como resultado um retorno em menor tempo e com melhor
avaliação por parte do cliente.
Uma das características dos artefatos definidos no SCRUM é:
Uma das características dos artefatos definidos no SCRUM é:
Provas
Questão presente nas seguintes provas
Antes do advento do HTML 5, as validações para os campos de
um formulário exigiam o uso de Java Script, mas agora é possível
efetuar diversas validações simples com base em atributos dos
campos de entrada.
Acerca dos novos atributos de validação, é correto afirmar que:
Acerca dos novos atributos de validação, é correto afirmar que:
Provas
Questão presente nas seguintes provas
Atualmente sob responsabilidade da ECMA International, o Java
Script (ECMA 6) utiliza o padrão de arrow function para a
definição de funções, aproximando um pouco mais a linguagem
do paradigma funcional.
Considerando uma função para a multiplicação de dois valores, na
forma recursiva, sua implementação no padrão arrow function é:
Provas
Questão presente nas seguintes provas
- Arquitetura e Design de SoftwareArquitetura em Camadas
- Arquitetura e Design de SoftwareMVC: Model-View-Controller
- Engenharia de SoftwareDesign Patterns
- LinguagensJava
João é programador do DPE/RS e precisa desenvolver o sistema
DefensorNet com os seguintes requisitos técnicos:
• Todas as requisições HTTP devem passar por um Servlet, onde o fluxo de execução é direcionado para o controlador EJB adequado, e os dados retornados no processamento efetuado pelo controlador são direcionados para algum template, onde ocorre a montagem da resposta, na forma de uma página HTML; e
• O paradigma de programação é orientado a objetos, e as classes DAO são acessadas apenas ao nível dos controladores. Para desenvolver o DefensorNet, no nível do Servlet e dos EJBs, João deve utilizar, respectivamente, os padrões:
• Todas as requisições HTTP devem passar por um Servlet, onde o fluxo de execução é direcionado para o controlador EJB adequado, e os dados retornados no processamento efetuado pelo controlador são direcionados para algum template, onde ocorre a montagem da resposta, na forma de uma página HTML; e
• O paradigma de programação é orientado a objetos, e as classes DAO são acessadas apenas ao nível dos controladores. Para desenvolver o DefensorNet, no nível do Servlet e dos EJBs, João deve utilizar, respectivamente, os padrões:
Provas
Questão presente nas seguintes provas
Os padrões de projeto fornecem soluções para problemas
recorrentes no desenvolvimento de sistemas. Maria está
desenvolvendo o sistema ComprasWeb e precisa resolver um
problema comum de sistemas Web que é a recepção assíncrona
de dados, onde deve ocorrer a atualização dos dados na interface
do usuário quando ocorre a resposta do servidor, sem que haja o
bloqueio das demais funções da interface.
Para tratar o problema do ComprasWeb, Maria deve usar o padrão de projeto:
Para tratar o problema do ComprasWeb, Maria deve usar o padrão de projeto:
Provas
Questão presente nas seguintes provas
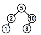
Em termos de programação estruturada, dados hierárquicos são
representados de forma adequada através da estrutura
denominada árvore. As árvores binárias restringem o número
máximo de filhos a dois, e o tipo AVL balanceia a altura através
de rotações, garantindo que o tempo de acesso a qualquer
informação seja o menor possível.
Considere a árvore apresentada a seguir, onde a regra define valores menores à esquerda e maiores à direita.

Com a inclusão do valor 7, a operação que ocorre é:
Considere a árvore apresentada a seguir, onde a regra define valores menores à esquerda e maiores à direita.

Com a inclusão do valor 7, a operação que ocorre é:
Provas
Questão presente nas seguintes provas
Observe o seguinte diagrama elaborado por Martin para o
desenvolvimento de um programa de conversão de temperatura.

O diagrama UML utilizado por Martin é o:

O diagrama UML utilizado por Martin é o:
Provas
Questão presente nas seguintes provas
Fernando estava configurando um Web Server Tomcat para que
pudesse hospedar o novo sistema de controle de estoque na rede
interna da empresa. Porém, descobriu que o sistema utiliza
componentes MDB, e foi obrigado a trocar o Tomcat pelo
Application Server JBoss, porque o Tomcat:
Provas
Questão presente nas seguintes provas
- AcessibilidadeAcessibilidade para Deficiências EspecíficasAcessibilidade para Deficiência Visual
- AcessibilidadeHTML: Atributo alt
- AcessibilidadeWCAG: Diretrizes de Acessibilidade a Conteúdos da Web
- AcessibilidadeUsabilidade e Acessibilidade
Roberto está definindo o projeto de um novo portal para a
empresa X Ltda., e preocupou-se em seguir as diretrizes de
acessibilidade para conteúdo Web (WCAG).
Entre as decisões tomadas por Roberto, ele demonstrou grande
preocupação com pessoas que apresentam deficiência visual
quando:
Provas
Questão presente nas seguintes provas
Cadernos
Caderno Container