Foram encontradas 580 questões.
Analise o código Python 2.7 a seguir.

O conjunto de palavras exibidas pela execução desse código, na ordem, é:
Provas
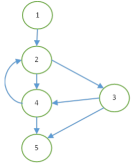
Para que um sistema seja testado adequadamente, é preciso realizar uma quantidade mínima de testes. Para apoiar essa definição, foi criada a Complexidade Ciclomática de McCabe, com fundamentação na teoria dos grafos. Essa técnica define uma métrica de software que fornece uma medida quantitativa da complexidade lógica de um programa, apresentando um limite superior para a quantidade de casos de testes de software que devem ser conduzidos.
A Complexidade Ciclomática pode ser calculada tanto pelo número de regiões quanto pelo número de arestas e nós.

Provas
Jurema é a gerente de um projeto de desenvolvimento de software e está reanalisando o projeto para prever sua duração. Para isso, ela analisa a sequência de atividades com a menor flexibilidade no cronograma.
Jurema está utilizando a técnica chamada de:
Provas
Os processos de gerenciamento de projetos são agrupados em cinco categorias. Jonas é o gerente de um projeto de desenvolvimento de software e está executando atividades para determinar, documentar e gerenciar as necessidades e requisitos das partes interessadas, a fim de atender aos objetivos do projeto.
Sendo assim, Jonas está realizando um processo do grupo de:
Provas
Analise o trecho de código a seguir, extraído de uma página na qual foram inseridos os devidos links para o acionamento da biblioteca JQuery.

Sabendo-se que essa página exibe inicialmente três linhas, é correto afirmar que um clique:
Provas
Considere as seguintes afirmativas sobre class constructor na linguagem Java.
I. Deve receber o mesmo nome da classe a ele associada.
II. Não deve ser especificado um tipo de retorno na sua declaração.
III. É útil para a definição de valores iniciais para os atributos da classe.
IV. É sempre declarado como public.
É correto somente o que se afirma em:
Provas
- Fundamentos de ProgramaçãoAlgoritmosAlgoritmos de Busca
- Fundamentos de ProgramaçãoComplexidade
- Fundamentos de ProgramaçãoEstruturas de DadosEstrutura de Dados: ÁrvoreÁrvore B ou B+ Tree
- Fundamentos de ProgramaçãoEstruturas de DadosEstrutura de Dados: Tabela Hash
Considere os seguintes métodos de busca/indexação:
I. Busca binária
II. Tabelas hash
III. Índices B-trees
Considere ainda um universo de busca com aproximadamente um milhão de chaves, para o qual cada método tenha sido implementado adequadamente.
Num benchmark extensivo, cada método apresentou um número médio de acessos até que cada chave fosse localizada.
Esses tempos médios, em ordem crescente, correspondem aos métodos:
Provas
Considere os trechos XML exibidos a seguir.
I.<p>Um primeiro exemplo (/p>
<br/>
II.<message>Texto breve</message>
III.
<b><i>Texto com destaque.</b></i>
IV.<p>Note que, para x>1, a resposta é sim.</p>
O número de trechos válidos é:
Provas
Uma empresa foi contratada por um órgão governamental para modificar e adaptar um sistema para gerenciamento eletrônico de documentos, com base nas especificações criadas pelo próprio órgão. A contratada entregou ao órgão uma parte do sistema com as alterações solicitadas, e um grupo de usuários finais do sistema está simulando operações de rotina, para atestar se seu comportamento está de acordo com as expectativas da empresa.
Conclui-se que está sendo realizado o teste de:
Provas
O Governo Federal, por meio do Banco Central, está desenvolvendo um sistema que possibilitará a todos os Bancos do país o acesso a algumas de suas informações. Um requisito fundamental desse sistema é que a taxa de juros utilizada em todas as transações de todos os Bancos seja a mesma e haja um único acesso a essa informação. Além disso, esse sistema deve poder ser executado em diferentes plataformas, como computadores e diversos dispositivos móveis. Para garantir que a taxa de juros seja única e para evitar a necessidade de criar diferentes soluções para cada plataforma, a empresa desenvolvedora decidiu adotar padrões de projeto. O primeiro padrão deverá garantir uma única instanciação para a classe “Taxa de juros”; e o segundo padrão deverá definir uma família de componentes para cada plataforma e uma implementação que os instancie de acordo com a plataforma na qual a aplicação estará sendo executada.
Os padrões de projeto a serem adotados nessa implementação são, respectivamente:
Provas
Caderno Container