Foram encontradas 50 questões.
O objetivo da camada física é transmitir um fluxo bruto de bits de uma máquina para outra. Vários meios físicos podem ser usados para realizar a transmissão, sendo subdivididos em meios guiados e meios não guiados. É um meio não guiado:
Provas
Questão presente nas seguintes provas
Sobre o esquema abaixo, é possível considerar que “Este computador”:


Provas
Questão presente nas seguintes provas
Sobre o algoritmo abaixo, podemos afirmar que são variáveis globais:


Provas
Questão presente nas seguintes provas
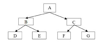
Considere a seguinte árvore binária encadeada. Ao aplicar o percurso do tipo “Pré-Ordem”, obtém-se a sequência linear:


Provas
Questão presente nas seguintes provas
Num fluxograma, o símbolo
representa:
Provas
Questão presente nas seguintes provas
Considerando o código abaixo, escrito na linguagem de programação PHP, o resultado esperado é:


Provas
Questão presente nas seguintes provas
O AJAX é o uso sistemático de Javascript e XML para tornar o navegador mais interativo com o usuário, utilizando- se de solicitações assíncronas de informações. Seu uso oferece uma série de benefícios, EXCETO:
Provas
Questão presente nas seguintes provas
Em Java, uma variável de ponto flutuante é uma variável do tipo:
Provas
Questão presente nas seguintes provas
- Fundamentos de ProgramaçãoEstruturas de DadosEstrutura de Dados: Lista
- Fundamentos de ProgramaçãoTipos Abstratos de Dados (TAD)
Considerando uma lista linear, com n elementos, existe uma operação que incorpora um elemento X a uma lista linear de tal forma que
- o elemento X tem um sucessor e/ou um antecessor. - a inserção é realizada de tal forma que ao inserir o elemento X na posição – onde está no intervalo 1 a ( +1) – esse elemento passa a ser o elemento da lista linear. - o número de elementos ( ) é acrescido de uma unidade
Esta operação denomina-se:
- o elemento X tem um sucessor e/ou um antecessor. - a inserção é realizada de tal forma que ao inserir o elemento X na posição – onde está no intervalo 1 a ( +1) – esse elemento passa a ser o elemento da lista linear. - o número de elementos ( ) é acrescido de uma unidade
Esta operação denomina-se:
Provas
Questão presente nas seguintes provas
1253438
Ano: 2010
Disciplina: TI - Organização e Arquitetura dos Computadores
Banca: FUNCAB
Orgão: DER-RO
Disciplina: TI - Organização e Arquitetura dos Computadores
Banca: FUNCAB
Orgão: DER-RO
Provas:
Sobre arquitetura de computadores 8086, o registrador de laços de repetição é o registrador:
Provas
Questão presente nas seguintes provas
Cadernos
Caderno Container