Foram encontradas 70 questões.

Supondo que V2=10V, R1=400Ω, R3=200Ω, R4=100Ω e a potência dissipada em R2 igual a 3W, a tensão de V1 é, em V:
Provas
Considere uma bobina com N espiras, permeabilidade μ, área de seção transversal do núcleo A e comprimento l. O valor da indutância dessa bobina é
Provas
A Lei de Faraday estabelece que a fem (força eletromotriz) total em um circuito fechado é igual à taxa de variação em relação ao tempo
Provas
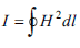
A Lei de Ampère é definida como (sendo H = campo magnético, dl = elemento de comprimento infinitesimal e I = corrente):
Provas
A diferença de potencial pode ser definida a partir do trabalho realizado para se mover uma carga Q, em um campo elétrico. Dessa forma, em termos de unidades, pode-se afirmar que a unidade Volts é equivalente a
Provas
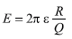
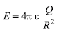
Suponha uma carga elétrica Q. Sendo ε a permissividade elétrica do meio, a intensidade do campo elétrico, a uma distância R dessa carga é dada por
Provas
A Lei de Gauss estabelece uma igualdade entre
Provas
O comportamento do material magn¨¦tico pode ser descrito por meio da permeabilidade magn¨¦tica relativa ¦Ìr = ¦Ì/¦Ì0, na qual ¦Ì ¨¦ a permeabilidade magn¨¦tica do material e ¦Ì0 ¨¦ a permeabilidade magn¨¦tica do v¨¢cuo. Um material que possui ¦Ìr ligeiramente maior que 1 ¨¦ denominado
Provas
Considere um trecho de 10 cm de Carbono (grafite), cuja resistividade é: ρ = 3 × 10–5 Ω·m, com área da secção transversal de 2 mm2. A resistência elétrica desse trecho de Carbono é, em Ω,
Provas
Com relação ao termo “efeito pelicular” em condutores elétricos, é correto afirmar que
Provas
Caderno Container