Foram encontradas 120 questões.
No que se refere à lógica proposicional, julgue o item.
A sentença “5 + 5 = 5 se, e somente se, 10 + 10 = 10” é verdadeira.
Provas
No que se refere à lógica proposicional, julgue o item.
A sentença “x = 2.023” é uma proposição.
Provas
No que se refere à lógica proposicional, julgue o item.
“Red Hot Chili Peppers é a maior banda de funk rock de todos os tempos!” é uma proposição.
Provas
A função indicadora de um conjunto A é definida como

Por exemplo, se B = {2}, então IB (2) = 1 e IB (2.023) = 0, pois 2 ∈ B e 2.023 ∉ B.
Considerando as definições acima apresentadas, julgue o item.
Se P é o conjunto dos números primos, então IP(1) = 1.
Provas
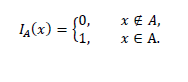
A função indicadora de um conjunto A é definida como

Por exemplo, se B = {2}, então IB (2) = 1 e IB (2.023) = 0, pois 2 ∈ B e 2.023 ∉ B.
Considerando as definições acima apresentadas, julgue o item.
Se q é um número racional e ℝ é o conjunto dos números reais, então IR(q) = 1.
Provas
A função indicadora de um conjunto A é definida como

Por exemplo, se B = {2}, então IB (2) = 1 e IB (2.023) = 0, pois 2 ∈ B e 2.023 ∉ B.
Considerando as definições acima apresentadas, julgue o item.
O conjunto formado pelos possíveis valores assumidos por IA (x), em que A é um conjunto qualquer, é {0, 1}.
Provas
Com base nas informações acima apresentadas, julgue o item.
O número de gols que Zico marcou pelo Kashima Antlers tem 8 divisores naturais.
Provas
Com base nas informações acima apresentadas, julgue o item.
O número de jogos que Zico disputou pela Udinese é um número primo.
Provas
Com base nas informações acima apresentadas, julgue o item.
Jogando por clubes profissionais, Zico marcou mais de 600 gols.
Provas
Com base nas informações acima apresentadas, julgue o item.
Mais de 85% dos jogos disputados por Zico em clubes profissionais foram pelo Flamengo.
Provas
Caderno Container