Foram encontradas 300 questões.
Uma Unidade de Alimentação Escolar possui para a distribuição quatro balcões paralelos, que permitem acesso em seis linhas com fluxo contínuo. Dessa forma, são servidas quatro cubas de cada preparação simultaneamente. A cuba de feijão tem capacidade para 15 kg.
Considerando a porção de feijão per capita igual a 80 g e o número de alunos 1.800, o número de reposições necessárias é de
Provas
- Higiene e Vigilância SanitáriaPrincípios Gerais de Conservação dos AlimentosConservação de alimentos

Provas
A qualidade dos gêneros alimentícios é de suma importância para a oferta de preparações com alta aceitação. O controle de qualidade abrange diversas fases do processo, desde a escolha dos fornecedores, recepção dos gêneros, equipamentos, material, qualificação dos profissionais, entre outros.
Em relação aos alimentos e suas características, é INCORRETO afirmar que
Provas

Provas
Em uma Unidade de Alimentação Escolar, as entregas de gêneros alimentícios são realizadas semanal ou quinzenalmente. Durante o ano de 2018, aconteceu uma greve de caminhoneiros que prejudicou o fornecimento de gêneros alimentícios, de forma que o risco de suspensão da oferta de merenda escolar foi elevado. A administração de materiais dentro de uma UAN, além de otimizar o atendimento, minimiza custos e diminui os riscos de suspensão em situações emergenciais como a citada.
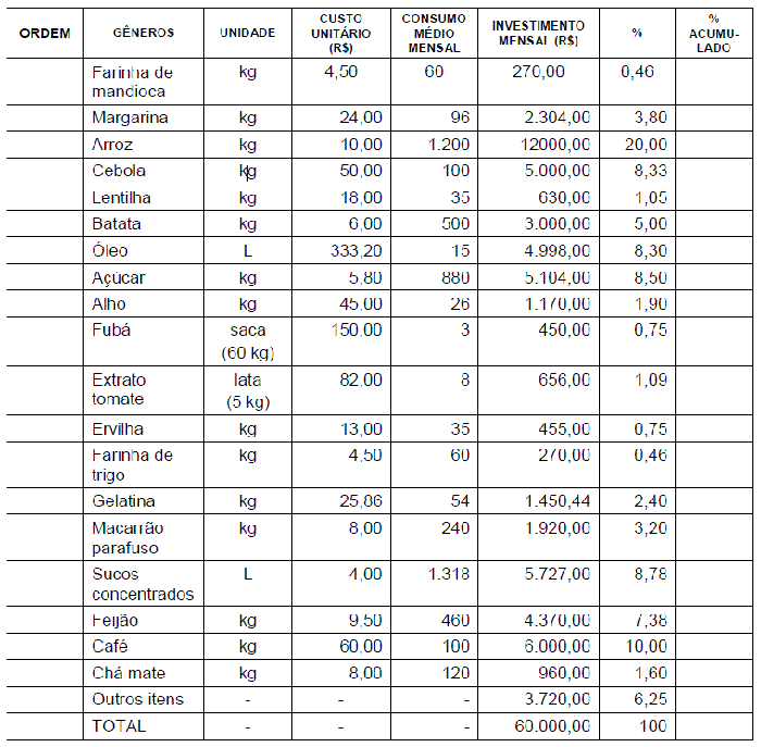
A curva ABC é uma ferramenta muito utilizada para o gerenciamento de compras e estoque de materiais. Os itens são divididos em A, B e C e classificados de acordo com o custo de cada produto e representatividade no total dos gêneros.

Em relação à tabela, a quantidade de gêneros classificados como itens A, itens B e itens C, são, respectivamente,
Provas
Em uma Unidade de Alimentação Escolar, as entregas de gêneros alimentícios são realizadas semanal ou quinzenalmente. Durante o ano de 2018, aconteceu uma greve de caminhoneiros que prejudicou o fornecimento de gêneros alimentícios, de forma que o risco de suspensão da oferta de merenda escolar foi elevado. A administração de materiais dentro de uma UAN, além de otimizar o atendimento, minimiza custos e diminui os riscos de suspensão em situações emergenciais como a citada.
A curva ABC é uma ferramenta muito utilizada para o gerenciamento de compras e estoque de materiais. Os itens são divididos em A, B e C e classificados de acordo com o custo de cada produto e representatividade no total dos gêneros.

Identifique exemplos dos itens A, B e C, respectivamente.
Provas
Após seis meses de obras, será entregue a cozinha do campus escolar, para uso exclusivo do PNAE. Entretanto, a aquisição dos equipamentos ainda está em fase de elaboração do termo de referência, responsabilidade do nutricionista, que precisa saber quantos processadores serão necessários. Sabe-se que o campus tem 960 alunos matriculados e estão lotados 280 servidores. Considere um processador com produtividade de 200 kg/hora, tempo de processamento de 90 minutos, e per capita de batata igual a 180 gramas.
A quantidade total de batatas e de processadores necessários para o preparo da guarnição é de
Provas
Uma unidade de alimentação e nutrição (UAN) atende 1.200 alunos por dia no horário de almoço. O cardápio do dia é composto por arroz simples, feijão mulatinho, taioba refogada, frango em cubos com cebola e frutas da estação na sobremesa.
Considerando o per capita do arroz igual a 80 g, o fator de cocção 3 e um aumento de 10% para a formação da camada de ar, o caldeirão para o preparo do arroz deverá ter capacidade, em litros, de
Provas
Nas preparações da alimentação escolar, recomenda-se no máximo da energia total proveniente de açúcar simples adicionado e da energia total proveniente de gorduras totais, sendo 10% proveniente de e 1% proveniente de .
As lacunas acima são corretamente preenchidas, respectivamente, pelos termos
Provas
A Resolução CFN nº 599 de 25 de fevereiro de 2018 aprova o Código de Ética e de Conduta do nutricionista e dá outras providências.
Segundo essa Resolução, é correto afirmar que
Provas
Caderno Container