Foram encontradas 60 questões.
A Lei nº 9.433/97 instituiu a Política Nacional de Recursos Hídricos e criou alguns instrumentos de gestão como o enquadramento dos corpos de água em classes, segundo os usos preponderantes da água. Pelo Art. 10 desse instrumento legal, as classes de corpos de água serão estabelecidas por legislação ambiental.
A lei ambiental brasileira que define as classes de corpos d'água superficiais é a
Provas
Provas

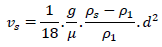
Onde: v é a velocidade de sedimentação da partícula, g é a gravidade (9,8 m/s2 ), µ é a viscosidade cinemática da água, ρs é a densidade da areia (2.600 kg/m3 ), ρ1 é a densidade da água (1.000 kg/m3 ) e d é o diâmetro da partícula.
Considere um afluente a 25º C em que o diâmetro das areias é de 0,8 mm. Sabendo que a viscosidade cinemática da água a essa temperatura é de 0,9 x 10–6 m/s2 , a velocidade de sedimentação do grão de areia é de
Provas
A Portaria nº 2.914/11 dispõe sobre os procedimentos de controle e de vigilância da qualidade da água para consumo humano e seu padrão de potabilidade.
Relacione os termos específicos do dia a dia de um operador de uma estação de tratamento de água às suas respectivas definições.
1. Padrão organoléptico
2. Cavalete
3. Ligação predial
4. Padrão de potabilidade
( ) conjunto de parâmetros capazes de provocar estímulos sensoriais que afetam a aceitação para consumo humano, mas que não necessariamente implicam risco à saúde.
( ) conjunto de tubulações e peças especiais, situado entre a rede de distribuição de água e o ponto de medição de água, incluindo esse.
( ) kit formado por tubos e conexões destinados à instalação do hidrômetro para realização da ligação de água.
( ) conjunto de valores permitidos como parâmetro da qualidade da água para consumo humano. Assinale a opção que mostra a relação correta, de cima para baixo.
Provas
Em um sistema de abastecimento de água, no trecho de uma adutora por recalque um técnico chegou à conclusão, após uma análise econômica utilizando a Fórmula de Bresse, que a velocidade dessa tubulação deveria ser de 2,0 m/s.
Uma vez que não é possível um aumento na potência das bombas e que a vazão a ser fornecida pelas bombas é de 905 m 3 /h, o menor diâmetro da adutora de recalque é
Provas
A Lei nº 9.795/99 dispõe sobre a educação ambiental e institui a Política Nacional de Educação Ambiental (PNEA). Como parte do processo educativo mais amplo, esse instrumento legal declara que todos têm direito à educação ambiental, e define incumbências de seus diversos atores. Relacione esses atores às incumbências definidas na PNEA.
1. Empresas privadas
2. Meios de comunicação de massa
3. Órgãos integrantes do Sistema Nacional de Meio Ambiente - Sisnama
4. Poder Público
( ) Promover a educação ambiental em todos os níveis de ensino e o engajamento da sociedade na conservação, recuperação e melhoria do meio ambiente.
( ) Promover ações de educação ambiental integradas aos programas de conservação, recuperação e melhoria do meio ambiente.
( ) Disseminar informações e práticas educativas sobre meio ambiente e incorporar a dimensão ambiental em sua programação.
( ) Promover programas destinados à avaliação e ao controle efetivo das repercussões do processo produtivo no meio ambiente.
Assinale a opção que indica a relação correta, de cima para baixo.
Provas
Um corpo de água com vazão de 25.000 m 3 /dia possui uma carga de DBO de 10.800 kg/dia.
A concentração de DBO desse corpo d'água PE de
Provas
A coleta seletiva tem sido cada vez mais defendida e adotada como forma de separar materiais do lixo que podem ser reciclados durante o descarte dos mesmos. Para a realização da separação na fonte é importante o estabelecimento de um padrão de cor por tipo de material. Esse padrão normalmente é colocado no recipiente de coleta do resíduo. Relacione as cores dos recipientes de coleta aos respectivos materiais.
1. Azul
2. Verde
3. Amarelo
4. Vermelho
( ) Plástico
( ) Vidro
( ) Metal
( ) Papel / Papelão
Assinale a opção que mostra a relação correta, de cima para baixo.
Provas
Os processos de tratamento de esgoto são classificados em função da eficiência requerida para atender aos padrões de lançamento do corpo d’água receptor.
O processo de tratamento predominantemente físico que remove sólidos grosseiros (materiais de maiores dimensões), partículas discretas e sólidos minerais (areia), materiais flutuantes e óleos e graxas, utilizando a grade e a caixa de areia como reatores, é denominado
Provas
As arboviroses são doenças virais transmitidas ao homem por picadas de mosquitos e que tem representado um grande desafio à saúde pública. Das doenças listadas a seguir
I. Zika vírus.
II. Leptospirose.
III. Febre amarela.
São exemplos de arboviroses:
Provas
Caderno Container