Magna Concursos

Foram encontradas 100 questões.

4077800 Ano: 2014
Disciplina: Engenharia Química
Banca: IDECAN
Orgão: CNEN
Provas:

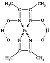
Uma amostra com uma quantidade desconhecida de um sal de níquel é analisada pelo método gravimétrico, em solução aquosa levemente básica, através dos compostos orgânicos DMG que formarão um precipitado com o níquel com especificidade quase total. O níquel dimetilglioxina tem cor vermelha-vivo e sua estrutura está representada na figura a seguir.

Enunciado 4411738-1

Diante do exposto, assinale a afirmativa correta.

 

Provas

Questão presente nas seguintes provas
4077799 Ano: 2014
Disciplina: Química
Banca: IDECAN
Orgão: CNEN
Provas:

“As reações nucleares são processos em que alguma alteração no caráter de um núcleo tem lugar, quer espontaneamente como na radioatividade, ou como resultado de bombardeio por partícula ou raio.”

(Raymond Murray. Energia Nuclear.)

 

Sobre os conceitos gerais das radiações nucleares, marque a afirmativa INCORRETA.

 

Provas

Questão presente nas seguintes provas
4077798 Ano: 2014
Disciplina: Química
Banca: IDECAN
Orgão: CNEN
Provas:

“Acidentes nucleares têm consequências graves e de longa duração para o meio ambiente e as populações próximas. Passados 25 anos do pior desastre nuclear da história, Chernobyl é ainda hoje uma cidade-fantasma na Ucrânia. Não é permitido ficar mais de 15 minutos nas imediações da antiga usina soviética, cujo reator explodiu em 1986, matando 30 funcionários em apenas 30 dias e contaminando toda a vida ao seu redor.

A exposição de material nuclear ao meio ambiente libera substâncias radioativas no ar e no solo. Essas substâncias contaminam plantas, rios, animais e pessoas em volta. Os dois elementos mais perigosos são o iodo radioativo e o césio, subprodutos da fissão nuclear do urânio. Em Chernobyl, o césio contaminou em cadeia o solo, a vegetação que extraía nutrientes deste solo, o gado que se alimentava desta vegetação e, por fim, as pessoas que tomaram o leite de vacas contaminadas. ‘A radiação não deixa o solo infértil, mas tudo que cresce ali acaba contaminado’, explica o engenheiro agrônomo Virgílio Franco, do Centro de Energia Nuclear na Agricultura da USP.”

(Revista Veja. Contaminação, a marca da radiação no ambiente. Radioatividade tem consequências graves e de longa duração/2011.)

 

Um dos grandes problemas desta contaminação é que os níveis de radioatividade podem permanecer por décadas; este fato ocorre devido à(ao)

 

Provas

Questão presente nas seguintes provas
4077797 Ano: 2014
Disciplina: Engenharia Química
Banca: IDECAN
Orgão: CNEN
Provas:

Analise o gráfico a seguir.

Enunciado 4411735-1

Com base no gráfico apresentado, analise a estimativa do tempo de latência.

 

I. O período de aparecimento (detecção) do câncer após a exposição pode chegar até 40 anos.

 

II. Na leucemia, a frequência passa por um máximo entre 5 e 7 anos.

 

III. Na leucemia há um período de latência de 3 anos.

 

Está(ão) correta(s) apenas a(s) afirmativa(s)

 

Provas

Questão presente nas seguintes provas
4077796 Ano: 2014
Disciplina: Química
Banca: IDECAN
Orgão: CNEN
Provas:

Analise a seguinte imagem.

Enunciado 4411734-1

Analisando a figura anterior, marque a alternativa que apresenta corretamente os tipos de raios que causam os efeitos indicados.

 

Provas

Questão presente nas seguintes provas
4077795 Ano: 2014
Disciplina: Engenharia Química
Banca: IDECAN
Orgão: CNEN
Provas:

Os efeitos biológicos provocados pela radiação ionizante são de natureza bastante variável e dependem de fatores como dose total recebida, se foi aguda ou crônica, se localizada ou de corpo inteiro, entre outros. Dentre as características gerais desses efeitos, assinale a sequência correta.

 

Provas

Questão presente nas seguintes provas
4077794 Ano: 2014
Disciplina: Química
Banca: IDECAN
Orgão: CNEN
Provas:

A radioatividade artificial foi descoberta pelo casal de cientistas franceses F. Joliot e I. Curie (filha de Marie Curie) ao bombardear alumínio por partículas alfa, obtendo a liberação de nêutrons e a formação de 30P. Dentre os processos relacionados, indique o que NÃO é empregado para produzir artificialmente radionuclídeos.

 

Provas

Questão presente nas seguintes provas
4077793 Ano: 2014
Disciplina: Engenharia Química
Banca: IDECAN
Orgão: CNEN
Provas:

O comportamento dos efeitos biológicos que resultam em tumores cancerosos é descrito matematicamente da seguinte forma:

 

I. Para valores de doses muito baixas, por não ter dados experimentais inequívocos, supõe-se que a probabilidade de incidência de câncer não seja proporcional à dose absorvida.

 

II. Na região de doses elevadas, com dados obtidos das vítimas de Hiroshima e Nagasaki, acidentes radiológicos e experiências em laboratório, a probabilidade de incidência de câncer varia, na maioria dos casos, com o quadrado da dose.

 

III. Para doses muito elevadas, a probabilidade de indução de câncer decresce devido à alta frequência de morte celular, que impede a evolução para um câncer.

 

Está(ão) INCORRETA(S) apenas a(s) afirmativa(s)

 

Provas

Questão presente nas seguintes provas
4077792 Ano: 2014
Disciplina: Química
Banca: IDECAN
Orgão: CNEN
Provas:

A tabela apresenta alguns dos limites primários anuais de dose para o trabalhador e indivíduos do público adotados como referência no Brasil.

Enunciado 4411730-1

(Comissão Nacional de Energia Nuclear (1988). Diretrizes Básicas de Radioproteção. CNEN/NE-3.01, Brasil.)

 

Com base na análise da tabela anterior, é correto afirmar que o(a)s

 

Provas

Questão presente nas seguintes provas
4077791 Ano: 2014
Disciplina: Engenharia Química
Banca: IDECAN
Orgão: CNEN
Provas:

Um equipamento de medição da atividade de radionuclídeos emissores de radiação alfa, beta e gama, utilizando a técnica da cintilação líquida, é mostrado na figura a seguir.

Enunciado 4411729-1

De acordo com o princípio de funcionamento deste equipamento, é INCORRETO afirmar que

 

Provas

Questão presente nas seguintes provas