Foram encontradas 259 questões.
- Qualidade de SoftwareControle de Qualidade
- Qualidade de SoftwareInspeção de Software
- Qualidade de SoftwareRevisões de Software
Provas

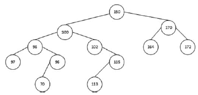
Considerando a árvore ilustrada na figura, assinale a alternativa correto.
Provas
Observe o trecho de código a seguir, escrito na linguagem de programação Java:
public class ConselhoFederalMedicina {
static int x=5;
public static void main(String[] args) {
System.out.print(x);
x=5;
while(x>=1) {
x--;
if(x%2==0) {
System.out.print(x*x);
}
else {
System.out.print(x);
}
}
}
}
A execução desse programa produzirá, como resultado, a saída
Provas
Provas
Provas
O fragmento de código a seguir, escrito em Java, descreve o uso de alguns artifícios que essa linguagem fornece para o programador:
public class Cachorro extends Manifero implements AnimalDomesticado, AnimalEstimacao {
private int tamanho;
private String raça;
public Cachorro(String nome ,String raça, int tamanho){
super.setNome(nome);
this.raça=raça;
this.tamanho=tamanho;
}
.
.
.
}// end class Cachorro
Com base no fragmento de código apresentado, assinale a alternativa correta.
Provas
Provas
- Fundamentos de ProgramaçãoAlgoritmosAlgoritmos de OrdenaçãoBubble Sort
- Fundamentos de ProgramaçãoComplexidade
Quando dois elementos estão fora de ordem, há uma inversão, e esses dois elementos são trocados de posição, ficando em ordem correta. Assim, o primeiro elemento é comparado com o segundo. Se uma inversão for encontrada, a troca é feita. Em seguida, independentemente de se houve ou não troca após a primeira comparação, o segundo elemento é comparado com o terceiro, e, caso uma inversão seja encontrada, a troca é feita. O processo continua até que o penúltimo elemento seja comparado com o último. Com esse processo, garante-se que o elemento de maior valor do vetor seja levado para a última posição. A ordenação continua com o posicionamento do segundo maior elemento, do terceiro etc., até que todo o vetor esteja ordenado.
CELES, W.; CERQUEIRA, R.; RANGEL, J. L. Introdução a Estruturas de Dados. Rio de Janeiro: Elsevier, 2004, com adaptações.
Em relação ao algoritmo descrito, é correto afirmar que a respectiva ordem de complexidade, no pior caso, é
Provas
Provas
Disciplina: TI - Organização e Arquitetura dos Computadores
Banca: IADES
Orgão: CFM
Em relação aos sistemas de numeração e codificação, considere o seguinte número na respectiva representação binária:
(0101101)2
Assinale a alternativa que apresenta o mesmo número convertido para o formato decimal.
Provas
Caderno Container