Foram encontradas 72 questões.
Provas
Provas
A adrenalina, um hormônio e neurotransmissor derivado do aminoácido tirosina, é secretado pelas glândulas suprarrenais em momentos de "stress". A adrenalina prepara o organismo para grandes esforços físicos, estimula o coração, eleva a tensão arterial, relaxa certos músculos e contrai outros. Sabendo que a fórmula estrutural da adrenalina é:

analise as seguintes afirmações.
1) A adrenalina apresenta os grupos funcionais fenol e amida.
2) É um composto aromático e apresenta isomeria ótica.
3) Apresenta uma amina secundária.
Está(ão) correta(s):
Provas
Provas
| Composto |
Entalpia de formação
!$ \Delta H_f° !$, !$ kJ.mol^{−1} !$
|
| CO(g) | −110,53 |
| !$ CH_3OH(l) !$ | −238,86 |
| !$ CH_3COOH(l) !$ | −484,50 |
Provas
Provas
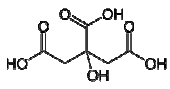
Um estudante de Química, analisando os ingredientes de um leite integral industrializado, observou que o mesmo continha citrato de sódio, monofosfato de sódio, difosfato de sódio e trifosfato de sódio. Sabendo que a fórmula estrutural do ácido cítrico é:

três afirmações foram feitas:
1) A molécula do ácido cítrico apresenta três carbonos com hibridização !$ sp^2 !$.
2) O citrato de sódio é um composto iônico com fórmula química !$ C_6H_5Na_3O_7 !$.
3) O fosfato de cálcio tem fórmula !$ Ca_2(PO_4)_3 !$.
Está(ão) correta(s) a(s) afirmativa(s):
Provas
Provas

Provas
Um estudante deseja conhecer o raio de um espelho esférico. Ele posiciona um lápis de altura H a uma distância de 20 cm do espelho. A imagem que ele observa possui altura H/5 e mesma orientação do lápis. O estudante conclui que o raio do espelho esférico é, em módulo, igual a:
Provas
Caderno Container