Magna Concursos

Foram encontradas 20 questões.

3980314 Ano: 2025
Disciplina: Matemática
Banca: SELECON
Orgão: CEFET-RJ
Provas:
No Bosque do CEFET/RJ, existe um projeto de catalogação das espécies de árvores. Os estudantes do curso técnico decidiram fazer uma estimativa do número de folhas em algumas árvores do bosque para um estudo de biomassa. Durante a pesquisa, o grupo estimou que uma árvore adulta do bosque possui 3x10⁴ folhas. Baseado nessa informação, em um trecho onde existam 0,8x10² árvores adultas, os estudantes concluirão que o número de folhas existentes é:
 

Provas

Questão presente nas seguintes provas
3980313 Ano: 2025
Disciplina: Matemática
Banca: SELECON
Orgão: CEFET-RJ
Provas:
Durante uma aula de Matemática, o professor Carlos escreveu um número de seis algarismos no quadro e, na sequência, substituiu um dos algarismos por uma letra X. O resultado foi 8375X0. Sabendo que o número de seis algarismos escrito inicialmente era múltiplo de 9, o algarismo substituído pela letra X foi:
 

Provas

Questão presente nas seguintes provas
3980312 Ano: 2025
Disciplina: Matemática
Banca: SELECON
Orgão: CEFET-RJ
Provas:
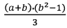
Se  a = 3 e b = – 4, o valor da expressão Enunciado 4916127-1  igual a:
 

Provas

Questão presente nas seguintes provas
3980311 Ano: 2025
Disciplina: Matemática
Banca: SELECON
Orgão: CEFET-RJ
Provas:
Uma loja de aluguel de bicicletas oferece duas opções a seus clientes para planos mensais, de forma a se adequar a frequência de utilização pelos usuários. Para além de um valor fixo mensal, apenas a contratação de valores inteiros de horas de utilização é ofertada, como indicado:

• valor fixo mensal de R$20,00 mais R$8,00 por hora;

• valor fixo mensal de R$110,00 mais R$2,00 por hora.

A equação que permite encontrar o número de horas utilizadas que tornam indiferente, do ponto de vista financeiro, o plano escolhido é:
 

Provas

Questão presente nas seguintes provas
3980310 Ano: 2025
Disciplina: Matemática
Banca: SELECON
Orgão: CEFET-RJ
Provas:
A equação 5 (x – 2) + 3x – 4 = 6 possui única solução igual a:
 

Provas

Questão presente nas seguintes provas
3980309 Ano: 2025
Disciplina: Matemática
Banca: SELECON
Orgão: CEFET-RJ
Provas:
Na cantina do CEFET/RJ, são preparados 24 litros de refresco de uva para os intervalos entre as aulas. O refresco é vendido em copos de 300 mL cada. No primeiro intervalo entre as aulas, foram vendidos 50 copos cheios desse refresco. A quantidade do refresco, em litros, que ainda resta após essa venda é:
 

Provas

Questão presente nas seguintes provas
3980308 Ano: 2025
Disciplina: Matemática
Banca: SELECON
Orgão: CEFET-RJ
Provas:
Em uma brincadeira entre cinco amigos, eles decidiram atribuir valores às letras C, E, F e T. Os valores definidos foram:
Enunciado 4916123-1
O valor da multiplicação C · E · F · E · T é:
 

Provas

Questão presente nas seguintes provas
3980307 Ano: 2025
Disciplina: Matemática
Banca: SELECON
Orgão: CEFET-RJ
Provas:
Em um estabelecimento comercial, pagamentos via PIX geram um desconto de 8% no valor total da compra. Nesse estabelecimento, o valor total da compra em reais, que, efetuada via PIX, gera um desconto de exatamente R$150,00, é:
 

Provas

Questão presente nas seguintes provas
3980306 Ano: 2025
Disciplina: Matemática
Banca: SELECON
Orgão: CEFET-RJ
Provas:
Um aluno do curso de Mecânica do CEFET/RJ pediu que a seguinte expressão fosse resolvida por um colega do curso de Administração: 
Enunciado 4916121-1
Sabendo que o colega calculou corretamente, o valor encontrado foi:
 

Provas

Questão presente nas seguintes provas
3980305 Ano: 2025
Disciplina: Matemática
Banca: SELECON
Orgão: CEFET-RJ
Provas:
Seis amigos foram a um restaurante comemorar o aniversário de um deles. Devido à celebração, combinaram que o aniversariante não paga. Por isso, o valor total da conta foi dividido igualmente entre cinco dos amigos, custando R$ 120,00 para cada. Se o mesmo valor total da conta fosse dividido igualmente entre os seis amigos, o custo por pessoa, em reais, seria:
 

Provas

Questão presente nas seguintes provas