Foram encontradas 497 questões.
O conceito de Energia Livre foi introduzido pelo físico-químico Josiah Willard Gibbs. Numa reação química, esta energia livre liberada representa a energia
Provas
Qual dos pares abaixo apresenta óxidos com ligações covalente e iônica, respectivamente?
Provas
Considere os seguintes átomos: A, B e C. O átomo A possui número atômico 28 e número de massa igual a 58. O átomo C possui número atômico 26.
Sabendo que A e B são isótopos, A e C são isótonos e B e C são isóbaros, qual o número de nêutrons de B?
Provas
Os catalisadores são substâncias empregadas em reações químicas para aumentar a velocidade da reação. Dadas as afirmativas seguintes a respeito dos catalisadores,
I. O catalisador não altera a entalpia de uma reação química.
II. Adição de um catalisador permite diminuir a energia de ativação de uma reação química.
III. O catalisador não altera o rendimento de uma reação química (quantidade de produto formado).
IV. Os catalisadores possuem sempre um estado de agregação diferente dos reagentes e produtos participantes da reação.
verifica-se que estão corretas apenas
Provas
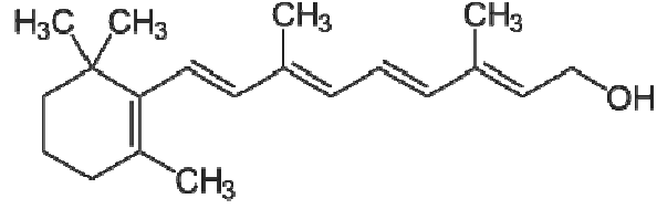
A vitamina A (C20H30O) é um micronutriente que desempenha papel essencial na visão, crescimento, desenvolvimento do osso, desenvolvimento e manutenção do tecido epitelial, processo imunológico e reprodução. A sua estrutura química pode ser representada por:

Com base em sua estrutura química, dadas as afirmativas seguintes,
I. É um composto aromático, pois possui um anel benzênico.
II. Possui um carbono quaternário.
III. Possui 5 ligações duplas.
IV. Possui 4 carbonos terciários.
verifica-se que estão corretas apenas
Provas
São, respectivamente, sistema de impressão, variação de tipologia e sistema de cores:
I. Offset; versalete; Grayscale
II. Grayscale; itálico; CMY
III. Offset; bold; RGB
Dos itens acima, verifica-se que está(ão) correto(s)
Provas
Com a web, os textos sofrem necessidade de adequação para estabelecerem relações efetivas de comunicação. Sobre esse assunto, dadas as proposições seguintes,
I. A multimidialidade somente é possível em textos produzidos originalmente com este objetivo, descartando o uso de materiais existentes.
II. Os hipermeios delimitam a interatividade, a velocidade, a quantidade e a qualidade da informação a ser obtida pelos usuários.
III. O gênero reportagem, por suas especificidades técnicas, ajusta-se bem ao hipertexto, pelos seus nós informativos e pela possibilidade de ampliação multimidiática.
verifica-se que está(ão) correta(s)
Provas
Dadas as proposições seguintes quanto à seleção e edição de imagens, textos e áudios,
I. O processo de edição é objetivo, uma vez que a escolha de trechos de áudio, vídeo ou textos escritos obedece à lógica da construção de uma história a ser contada.
II. O ângulo de captura de informações interfere na produção do conteúdo, sendo elemento subjetivo a ser considerado no processo de edição.
III. O editor, por não captar as informações na fonte, não é responsável pela informação que chega a leitores, telespectadores e ouvintes.
verifica-se que está(ão) correta(s)
Provas
Dadas as proposições seguintes quanto à redação para meios de comunicação,
I. Os textos em webjornalismo deverão contemplar a lógica do hipertexto, ampliando as possibilidades de acesso às informações.
II. A redação para telejornalismo tem o desafio de unir o texto escrito ao imagético, uma vez que contempla as imagens captadas na construção da textualidade.
III. Os releases são sugestões de pauta que, por serem produzidos pela assessoria, não precisam seguir normas de cada um dos veículos de comunicação.
verifica-se que está(ão) correta(s)
Provas
Os crimes praticados em redes têm crescido proporcionalmente ao desenvolvimento de novas tecnologias de informação e comunicação, exigindo novas práticas de segurança nas organizações. Sobre esses assunto, dadas as proposições seguintes,
I. A segurança da informação se baseia na confidencialidade de dados e em questões de cunho tecnológico, tanto quanto em práticas humanas e procedimentos éticos.
II. Senhas, totens e biometria têm diferentes níveis de confidencialidade quanto ao processo de identificação do usuário.
III. Não há como, na internet, saber que dados são confiáveis ou não, uma vez que não há como estabelecer autenticidade das informações divulgadas.
verifica-se que está(ão) correta(s)
Provas
Caderno Container