Foram encontradas 40 questões.
Disciplina: TI - Organização e Arquitetura dos Computadores
Banca: FUNCAB
Orgão: Câm. Vitória-ES
Nas funções, quando o parâmetro formal é o endereço de memória do parâmetro real correspondente e qualquer alteração nos valores dos parâmetros formais é refletida no valor dos parâmetros reais, pode-se afirmar que há uma passagem de parâmetro:
Provas
Disciplina: TI - Desenvolvimento de Sistemas
Banca: FUNCAB
Orgão: Câm. Vitória-ES
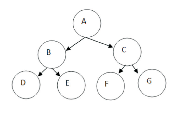
Considere a seguinte árvore binária.

A ordenação de busca nessa árvore em sequência de intraordem, é:
Provas
Disciplina: TI - Desenvolvimento de Sistemas
Banca: FUNCAB
Orgão: Câm. Vitória-ES
- Fundamentos de ProgramaçãoEstruturas de DadosDefinição: Estrutura de Dados
- Fundamentos de ProgramaçãoEstruturas de DadosEstrutura de Dados: Fila
- Fundamentos de ProgramaçãoEstruturas de DadosEstrutura de Dados: Lista
- Fundamentos de ProgramaçãoEstruturas de DadosEstrutura de Dados: Pilha
Alguns termos relacionados à estrutura de dados estão disponibilizados na Coluna I. Faça a correta correspondência com os seus conceitos associados, dispostos na Coluna II.
Coluna I
1. Lista
2. Deque
3. Fila
4. Pilha
Coluna II
( ) O último elemento inserido será o primeiro a ser removido.
( ) Os primeiros elementos a entrar são os primeiros elementos a sair.
( ) Inserções e remoções são permitidas somente nas extremidades.
( ) Estrutura linear e encadeada em que cada registro aponta para o próximo.
A sequência correta é:
Provas
Disciplina: TI - Segurança da Informação
Banca: FUNCAB
Orgão: Câm. Vitória-ES
São exemplos de algoritmos de criptografia assimétrica e simétrica, respectivamente:
Provas
Disciplina: TI - Redes de Computadores
Banca: FUNCAB
Orgão: Câm. Vitória-ES
A tecnologia da comunicação sem fio em alta velocidade que pode ser empregada nas WMANs e que permite a interligação de nós em longas distâncias, é conhecida como:
Provas
Disciplina: TI - Redes de Computadores
Banca: FUNCAB
Orgão: Câm. Vitória-ES
- Modelo OSIModelo OSI: Camada Física
- Transmissão de DadosCaracterísticas de TransmissãoAtenuação de Sinal
- Transmissão de DadosCaracterísticas de TransmissãoCrosstalk/Diafonia e Delay Skew
A quantidade de ruído presente em uma transmissão numa rede pode ser mensurada em termos da:
Provas
Disciplina: TI - Redes de Computadores
Banca: FUNCAB
Orgão: Câm. Vitória-ES
Na definição do padrão de cabeamento de uma rede devem ser considerados os seguintes aspectos, EXCETO:
Provas
Disciplina: TI - Redes de Computadores
Banca: FUNCAB
Orgão: Câm. Vitória-ES
- Protocolos e ServiçosInternet e EmailHTTP: Hyper Text Transfer Protocol
- Protocolos e ServiçosInternet e EmailSMTP: Simple Mail Transfer Protocol
- Protocolos e ServiçosTransferência de ArquivosFTP: File Transfer Protocol
São protocolos trafegados na camada de aplicação do modelo TCP/IP:
Provas
Disciplina: TI - Redes de Computadores
Banca: FUNCAB
Orgão: Câm. Vitória-ES
No modelo OSI, a criptografia e o controle de transmissão de dados são serviços oferecidos, respectivamente, pelas camadas:
Provas
Disciplina: TI - Redes de Computadores
Banca: FUNCAB
Orgão: Câm. Vitória-ES
- AbrangênciaLAN: Local Area Network
- AbrangênciaMAN: Metropolitan Area Network
- AbrangênciaPAN: Personal Area Network
- AbrangênciaWAN: Wide Area Network
No tocante à abrangência, são formas de classificação das redes de computadores:
Provas
Caderno Container