Foram encontradas 175 questões.
Disciplina: TI - Banco de Dados
Banca: SELECON
Orgão: Câm. Lucas Rio Verde-MT
- Conceitos e FundamentosComponentes de um SGBD
- Conceitos e FundamentosFunções de um SGBD
- Banco de Dados RelacionalTransaçõesControle de Concorrência
Patrícia deseja saber qual o componente do Sistema Gerenciador de Banco de Dados que faz uso do sistema operacional para acessar os dados armazenados, controlando o acesso concorrente desses dados às tabelas do banco de dados. Esse componente é o:
Provas
Disciplina: TI - Banco de Dados
Banca: SELECON
Orgão: Câm. Lucas Rio Verde-MT
- Banco de Dados RelacionalNormalização2FN: Segunda Forma Normal
- Banco de Dados RelacionalNormalização3FN: Terceira Forma Normal
- Banco de Dados RelacionalNormalização4FN: Quarta Forma Normal
Lais está trabalhando com normalização de dados. Após estudar as tabelas, ela verificou que uma tabela apresentava uma anomalia em que uma coluna dependia apenas de parte de uma chave primária composta, e a outra tabela não continha dependências multivaloradas. Lais concluiu que estas tabelas, nesse momento, estavam nas suas mais altas formas normais:
Provas
Disciplina: TI - Banco de Dados
Banca: SELECON
Orgão: Câm. Lucas Rio Verde-MT
Vitor está elaborando a transformação de um modelo conceitual ER em um modelo lógico relacional. Neste caso, a entidade Empregado seria representada no esquema relacional por:

Provas
Disciplina: TI - Banco de Dados
Banca: SELECON
Orgão: Câm. Lucas Rio Verde-MT
Ana queria fazer uma consulta sobre o banco de dados utilizando SQL para buscar os nomes dos empregados que estavam vinculados ao departamento de marketing.
As tabelas disponíveis são:
Dept (CodigoDepto, Nome)
Emp (CodEmp, CodigoDepto, Nome, CategFuncional, CIC)
Sendo CodigoDepto de Dept chave estrangeira.
Para isso, utilizou a seguinte instrução SQL:
Provas
Disciplina: TI - Banco de Dados
Banca: SELECON
Orgão: Câm. Lucas Rio Verde-MT
- Banco de Dados RelacionalTipos de ChavesChave Estrangeira
- Modelagem de DadosDiagrama Entidade-Relacionamento (DER)
Ao trabalhar com o Diagrama Entidade-Relacionamento (DER), Tales foi questionado sobre qual seria o mecanismo que permite a implementação de relacionamentos em um banco de dados relacional. Ele respondeu:
Provas
Disciplina: TI - Banco de Dados
Banca: SELECON
Orgão: Câm. Lucas Rio Verde-MT
Joana solicitou ao analista de dados que elaborasse um modelo de dados abstrato que descrevesse a estrutura de um banco de dados de forma independente de um SGBD particular. Neste caso, Joana queria um:
Provas
Disciplina: TI - Desenvolvimento de Sistemas
Banca: SELECON
Orgão: Câm. Lucas Rio Verde-MT
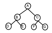
Paula visualizou a seguinte estrutura de dados:

A representação sequencial desta árvore binária é:
Provas
Disciplina: TI - Desenvolvimento de Sistemas
Banca: SELECON
Orgão: Câm. Lucas Rio Verde-MT
- Fundamentos de ProgramaçãoEstruturas de DadosEstrutura de Dados: Fila
- Fundamentos de ProgramaçãoEstruturas de DadosEstrutura de Dados: Pilha
- Fundamentos de ProgramaçãoEstruturas de DadosEstrutura de Dados: Vetor
Pedro deseja utilizar uma estrutura de dados estática e ordenada com elementos do mesmo tipo. Neste caso, ele deve utilizar um (a):
Provas
Disciplina: TI - Desenvolvimento de Sistemas
Banca: SELECON
Orgão: Câm. Lucas Rio Verde-MT
- Fundamentos de ProgramaçãoEstruturas de RepetiçãoEstrutura while
- Fundamentos de ProgramaçãoLógica de Programação
- Fundamentos de ProgramaçãoPseudocódigo
Janete observou o seguinte trecho de código em Portugal:
Repita
<lista de comandos>
Até <condição>
Ela poderia obter o mesmo resultado deste trecho de código em:
Provas
Disciplina: TI - Desenvolvimento de Sistemas
Banca: SELECON
Orgão: Câm. Lucas Rio Verde-MT
- Fundamentos de ProgramaçãoEstruturas de Repetição
- Fundamentos de ProgramaçãoEstruturas de Seleção
- Fundamentos de ProgramaçãoLógica de Programação
- Fundamentos de ProgramaçãoOperadoresOperadores Lógicos
Carlos precisa trabalhar com três estruturas lógicas empregadas em seus algoritmos. Neste caso, ele deveria escolher:
Provas
Caderno Container