Foram encontradas 120 questões.

A respeito do diagrama apresentado, assinale a alternativa correta.
Provas
A pilha é uma estrutura de dados que permite a inserção e a remoção desses dados sempre por meio de regras predefinidas. Para que essas operações sejam realizadas, são utilizadas duas funções: push e pop. Com base nessa informação, considere que um programa possua uma pilha p, inicialmente vazia, e que as seguintes operações foram realizadas: PUSH(p, 10); PUSH(p, 5); PUSH(p, 3); PUSH(p, 50); POP(p); PUSH(p, 11); PUSH(p, 9); PUSH(p, 20); POP(p); POP(p).
Ao fim da execução desses comandos, quais serão o topo da pilha e o somatório dos elementos ainda dentro da pilha, respectivamente?
Provas

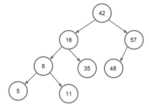
Considere a árvore binária apresentada.
Percorrer essa árvore utilizando o algoritmo de pre-oder resultará na seguinte sequência:
Provas
Provas
Provas
Considere a estrutura de dados árvore binária de busca e que cada um de seus elementos possua três campos.
➢ left: um ponteiro para o elemento à sua esquerda;
➢ value: informação armazenada pelo elemento; e
➢ right: um ponteiro para o elemento à sua direita.
Considere ainda uma árvore binária de busca preexistente armazenada na variável root “e uma função newNode que cria um novo elemento de árvore com o valor dentro (seus ponteiros são inicializados como nulos)”.

Analisando-se o trecho de pseudocódigo apresentado, qual é a tarefa realizada por ele?
Provas
Provas
Considere o trecho de código a seguir, escrito em COBOL.

Em que contexto esse código tem por objetivo ser utilizado?
Provas
Provas
Provas
Caderno Container