Foram encontradas 240 questões.
O item a seguir apresenta uma situação hipotética, seguida de uma assertiva a ser julgada, com relação a testes de software.
Determinada equipe de desenvolvimento de softwares desejava realizar testes que avaliassem o comportamento do sistema por meio do estudo das entradas e das saídas relacionadas, sem validação da implementação do software e sem acesso ao seu código-fonte. Para isso, a equipe sugeriu a utilização dos testes de caixa-preta e de caixa-branca. Nessa situação, somente o teste tipo caixa-preta é corretamente aplicável, pois o tipo caixa-branca depende de acesso ao código-fonte do sistema.
Provas
Julgue o item a seguir, relativo ao conceito de construção de algoritmos.
O algoritmo a seguir apresenta um exemplo de busca sequencial.

Provas

Considerando a tabela precedente, em que baixa, média e alta são as complexidades das funções, julgue o próximo item, relativo a análise de pontos de função (APF).
A aplicação A possui mais pontos de função brutos do que a aplicação B.
Provas

A aplicação A possui mais de sessenta pontos de função brutos.
Provas
Julgue o item seguinte, a respeito de arquitetura de software.
A arquitetura ilustrada na figura a seguir, a ser executada, por exemplo, por meio de um browser instalado em dispositivos móveis, descreve uma arquitetura MVC (model-view-controller) que pode ser aplicada com a utilização de REST e JavaScript.

Provas
Julgue o item subsequente, relativo a estrutura de dados.
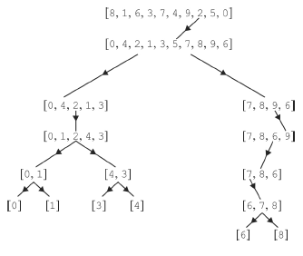
Situação hipotética: Para ordenar os números do vetor (0, 4, 2, 1, 3, 5, 7, 8, 9, 6), foram realizados os passos mostrados na figura a seguir, com seus respectivos resultados a cada passagem, tendo sido o número 5 do vetor utilizado inicialmente como pivô.

Assertiva: Nessa situação, foi utilizado o método de ordenação do tipo quicksort.
Provas
Julgue o próximo item, concernente ao conceito relacionado a algoritmos e linguagens de programação.
A resposta do algoritmo seguinte é 8.
Provas
Julgue o item seguinte, a respeito de web services.
SOAP utiliza um sistema de mensagens SMTP sobre a camada de transporte.
Provas
- Fundamentos de ProgramaçãoAlgoritmosAlgoritmos de OrdenaçãoBubble Sort
- Fundamentos de ProgramaçãoAlgoritmosAnálise de Execução de Algoritmos
- Fundamentos de ProgramaçãoEstruturas de DadosEstrutura de Dados: Vetor
Julgue o item subsequente, relativo a estrutura de dados.
Situação hipotética: Para ordenar os números do vetor (30, 50, 10, 20, 40), foram realizados os passos i a vi, apresentados a seguir, com os respectivos resultados a cada passagem.
i 30 > 50?
30,50,10,20,40
ii 50 > 10?
30,10,50,20,40
iii 50 > 20?
30,10,20,50,40
iv 50 > 40?
30,10,20,40,50
v 30 > 10?
10,30,20,40,50
vi 30 > 20?
10,20,30,40,50
Assertiva: Nessa situação, os passos realizados constituem um algoritmo do tipo bubble sort, ou bolha.
Provas
- UX/UIAvaliação de Usabilidade
- UX/UIInteração Humano-Computador
- UX/UIProjeto de Interface de Usuário
- UX/UIUsabilidade
Acerca de interface de interação com usuários, julgue o item subsequente.
Na avaliação de interfaces, o método percurso cognitivo pode ser aplicado sem envolvimento de usuários, apenas com a equipe envolvida no sistema.
Provas
Caderno Container