Magna Concursos

Foram encontradas 347 questões.

1479673 Ano: 2006
Disciplina: Química
Banca: NCE-UFRJ
Orgão: Arquivo Nacional
Provas:

Considere as quatro substâncias abaixo:

I – etilamina II – etilmetilamina

III – amônia IV – água

A ordem decrescente de basicidade dessas substâncias é:

 

Provas

Questão presente nas seguintes provas
1479672 Ano: 2006
Disciplina: Química
Banca: NCE-UFRJ
Orgão: Arquivo Nacional
Provas:
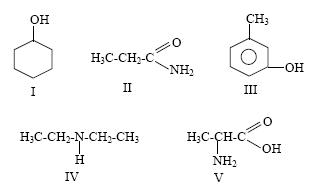
Observe as fórmulas estruturais abaixo:

enunciado 1479672-1

Aquelas que pertencem, respectivamente, às funções fenol e amina são:

 

Provas

Questão presente nas seguintes provas
1479671 Ano: 2006
Disciplina: Química
Banca: NCE-UFRJ
Orgão: Arquivo Nacional
Provas:

Em relação à manutenção e à conservação de documentos, é INCORRETO afirmar que:

 

Provas

Questão presente nas seguintes provas
1479670 Ano: 2006
Disciplina: Química
Banca: NCE-UFRJ
Orgão: Arquivo Nacional
Provas:

Em relação à limpeza e à remoção de manchas, é INCORRETO afirmar que:

 

Provas

Questão presente nas seguintes provas
1479669 Ano: 2006
Disciplina: Química
Banca: NCE-UFRJ
Orgão: Arquivo Nacional
Provas:

Em relação aos diversos métodos não aquosos de desacidificação, é correto afirmar que:

 

Provas

Questão presente nas seguintes provas
1479668 Ano: 2006
Disciplina: Química
Banca: NCE-UFRJ
Orgão: Arquivo Nacional
Provas:

Em relação aos diversos métodos aquosos de desacidificação, é correto afirmar que:

 

Provas

Questão presente nas seguintes provas
1479667 Ano: 2006
Disciplina: Química
Banca: NCE-UFRJ
Orgão: Arquivo Nacional
Provas:

A seguir são feitas algumas afirmativas sobre a desacidificação, que é o procedimento a ser adotado para aumentar a sobrevida de papéis:

I - A desacidificação é a neutralização da acidez presente no papel através de deposição de reserva alcalina.

II - A eficácia dos métodos de desacidificação depende somente da concentração dos agentes desacidificantes.

III - A eficácia dos métodos de desacidificação é independente da natureza química do processo de obtenção do papel.

As afirmativas verdadeiras são somente:

 

Provas

Questão presente nas seguintes provas
1479666 Ano: 2006
Disciplina: Química
Banca: NCE-UFRJ
Orgão: Arquivo Nacional
Provas:
Em relação à medida do pH em extrato aquoso para análise de papéis, é INCORRETO afirmar que:
 

Provas

Questão presente nas seguintes provas
1479665 Ano: 2006
Disciplina: Química
Banca: NCE-UFRJ
Orgão: Arquivo Nacional
Provas:

Em relação à medida do pH superficial do papel, é INCORRETO afirmar que:

 

Provas

Questão presente nas seguintes provas
1479664 Ano: 2006
Disciplina: Química
Banca: NCE-UFRJ
Orgão: Arquivo Nacional
Provas:

As afirmativas a seguir se referem às recomendações técnicas gerais que têm a finalidade de evitar problemas com a conservação de documentos:

I - Evitar encapar livros com papel de natureza ácida, pois este tipo de papel transmite seu teor ácido para os materiais que estiver envolvendo.

II - Evitar usar grampos e clips metálicos, pois estes materiais oxidam o papel com o decorrer do tempo.

III - Não encostar as estantes nas paredes de modo a evitar que a umidade presente nas paredes se transmita aos volumes.

As afirmativas verdadeiras são somente:

 

Provas

Questão presente nas seguintes provas