Foram encontradas 140 questões.
Dos aparatos de medição de volume listados abaixo, o que mediria um volume contido de 10,00 mL com maior precisão é a(o).
Provas
Questão presente nas seguintes provas
Os potenciais padrões de redução de alguns sistemas encontram-se abaixo.
Ag+ + e → Ag(s); Eº = +0,80 V. Cu2+ + 2e → Cu(s); Eº = +0,34 V. Cd2+ + 2e → Cd(s); Eº = -0,40 V. Zn2+ + 2e → Zn(s); Eº = -0,76 V.
Levando-se em conta a espontaneidade dos processos,
Ag+ + e → Ag(s); Eº = +0,80 V. Cu2+ + 2e → Cu(s); Eº = +0,34 V. Cd2+ + 2e → Cd(s); Eº = -0,40 V. Zn2+ + 2e → Zn(s); Eº = -0,76 V.
Levando-se em conta a espontaneidade dos processos,
Provas
Questão presente nas seguintes provas
- Gases
- Química CinéticaRepresentação das Transformações Químicas
- Química CinéticaTransformações Químicas
Um volume de 5,0 L, medidos na CNTP, de uma amostra de gás natural foi queimado (combustão completa). Se a amostra tem composição, em volume, de 90% de metano e 10% de etano, o item que indica, com a melhor aproximação, a massa de CO2 produzida, em gramas, é:
Dados
CNTP: 1 atm e 273 K R = 0,082 atm L mol-1 K-1
CNTP: 1 atm e 273 K R = 0,082 atm L mol-1 K-1
Provas
Questão presente nas seguintes provas
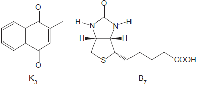
A frase “semelhante dissolve semelhante” é muito utilizada na química para justificar a solubilidade dos compostos. A solubilidade também pode ser quimicamente justificada através das interações intermoleculares (forças de atração) semelhantes, existentes entre soluto e solvente.
Considere as vitaminas K3 e B7, cujas estruturas estão representadas a seguir.
No que concerne à solubilidade em água, verifica-se que a vitamina.
Considere as vitaminas K3 e B7, cujas estruturas estão representadas a seguir.
No que concerne à solubilidade em água, verifica-se que a vitamina.
Provas
Questão presente nas seguintes provas
- Química CinéticaRepresentação das Transformações Químicas
- Química InorgânicaSoluções e Substâncias InorgânicasSoluções: características, tipos de concentração, diluição, mistura, titulação e soluções coloidais
Um técnico de laboratório precisa preparar uma solução de NaOH 0,30 mol L-1. Contudo, ele dispõe apenas de uma solução de NaOH 20,00 g L-1 recentemente preparada.
Que volume dessa última solução deve ser utilizado para preparar 250,00 mL da solução 0,30 mol L-1 de NaOH?
Dado Massa molar do NaOH = 40 g mol-1
Que volume dessa última solução deve ser utilizado para preparar 250,00 mL da solução 0,30 mol L-1 de NaOH?
Dado Massa molar do NaOH = 40 g mol-1
Provas
Questão presente nas seguintes provas
- Gases
- Química CinéticaRepresentação das Transformações Químicas
- Química CinéticaTransformações Químicas
Considere um gás ideal que passa por uma transformação durante a qual sua pressão e o volume que ocupa podem variar, mas sua temperatura é sempre mantida constante. A Lei de Boyle-Mariotte garante que, nessas circunstâncias, o produto entre a pressão P e o volume V ocupado pelo gás é constante. Quando o gás considerado ocupa o volume correspondente a 18ml, a sua pressão é de 3 atm (atmosferas).
Se a medida do volume ocupado pelo gás for de 2,25ml, então, sua pressão, em atmosferas, medirá
Provas
Questão presente nas seguintes provas
- Interações com Tecnologia, Sociedade e Meio Ambiente
- Química OrgânicaPropriedades Físicas dos Compostos Orgânicos
A porcentagem de resíduo de carbono, o número de carbonos e o ponto de ebulição guardam uma relação direta nas frações de petróleo.
Considere o sistema de eixos da Figura abaixo no qual são indicados cinco campos gráficos.
Comparados com as frações de gás natural, nafta, diesel e de gasolina em termos da distribuição nos campos do gráfico, os asfaltenos estariam no campo indicado por:
Considere o sistema de eixos da Figura abaixo no qual são indicados cinco campos gráficos.
Comparados com as frações de gás natural, nafta, diesel e de gasolina em termos da distribuição nos campos do gráfico, os asfaltenos estariam no campo indicado por:
Provas
Questão presente nas seguintes provas
- Química OrgânicaHidrocarbonetos
- Química OrgânicaReações OrgânicasReações Orgânicas: Substituição, Adição e Eliminação
Sob condições adequadas, o hidrocarboneto representado a seguir sofre halogenação na presença de Br2.
Nessa reação de bromação, a representação do produto orgânico formado em maior quantidade é:
Nessa reação de bromação, a representação do produto orgânico formado em maior quantidade é:
Provas
Questão presente nas seguintes provas
- Química InorgânicaSoluções e Substâncias InorgânicasPropriedades Coligativas: Tonoscopia, Ebulioscopia, Crioscopia e Pressão Osmótica.
- Química InorgânicaSoluções e Substâncias InorgânicasSoluções: características, tipos de concentração, diluição, mistura, titulação e soluções coloidais
A dissolução de 0,1 g de CaCl2 em um copo bécher com 250 mL de água pura produz uma solução que, ao ser comparada com a água pura, tem.
Provas
Questão presente nas seguintes provas
Um pequeno incêndio tem início numa bancada por conta de um pequeno pedaço de sódio.
Das opções abaixo, a que NÃO deve ser feita é:
Das opções abaixo, a que NÃO deve ser feita é:
Provas
Questão presente nas seguintes provas
Cadernos
Caderno Container