Foram encontradas 543 questões.
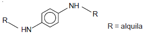
Para diminuir a formação de goma em gasolinas e melhorar suas características de manuseio e armazenamento podem ser utilizados aditivos derivados de diaminas aromáticas, como a representada abaixo.

Esse aditivo atua como um agente:
Provas
Avaliando a influência da composição hidrocarbônica de petróleos e de seus derivados sobre suas propriedades, é correto afirmar que um maior teor de compostos:
Provas
O ensaio Doctor permite pesquisar a presença de sulfeto de hidrogênio e mercaptans em derivados de petróleo como a gasolina e o querosene. Ele consiste na agitação da amostra com solução aquosa de plumbito de sódio (Na2PbO2), seguida da adição de pequena quantidade de enxofre. O teste é considerado positivo para mercaptans quando há formação de um precipitado preto após a adição de enxofre. A formação desse precipitado se deve a uma reação de:
Provas
As especificações para o querosene de aviação (QAV) estabelecem um:
- teor máximo de aromáticos de 25%, em volume;
- teor máximo de enxofre mercaptídico de 0,0030%, em massa, ou ensaio Doctor negativo;
- valor máximo de 7mg/100mL para o ensaio de goma atual;
- valor máximo de 25mm de Hg para o ensaio de estabilidade térmica (JFTOT).
Assinale a opção que registra o princípio correto do método recomendado pela especificação do QAV para algum desses ensaios.
| Ensaio |
Princípio do método |
Provas
Os óleos combustíveis são produzidos em diferentes tipos, de acordo com sua utilização. A classificação do óleo combustível em 1A a 9A ou 1B a 9B é feita em função de sua (seu):
Provas
Considere o seguinte esquema de separação dos principais tipos de estruturas moleculares encontradas em petróleo:

A respeito da constituição das frações I, II e III, é correto afirmar que a fração:
Provas
Os ensaios de número de octano (NO) e número de cetano (NC) são utilizados para avaliar combustíveis que operam em motores de Ciclo Otto e de Ciclo Diesel, respectivamente. A respeito desses ensaios, é correto afirmar que:
Provas
O aumento da propriedade medida NÃO se correlaciona com o aumento do teor de hidrocarbonetos parafínicos da amostra no ensaio denominado ponto de:
Provas
Sobre a influência da composição da carga sobre os produtos obtidos no processo de craqueamento catalítico de frações pesadas de petróleo, foram feitas as afirmações a seguir.
I – Parafinas são transformadas, principalmente, em propeno, butenos, butanos e gasolina leve, gerando muito pouco coque.
II – Naftênicos são transformados, principalmente, em olefinas, parafinas ramificadas e aromáticos, gerando algum coque.
III – Aromáticos são transformados em gasolina de alta octanagem e geram muito pouco coque.
IV – Olefinas são transformadas, principalmente, em produtos de baixo peso molecular e geram razoável quantidade de coque.
Estão corretas as afirmativas:
Provas
O processo de craqueamento catalítico de gasóleos e resíduos consiste na quebra de moléculas pesadas por ação de catalisadores à base de zeólitas a altas temperaturas. Considerando a reatividade dos diversos tipos de hidrocarbonetos encontrados na carga do processo, a ordem decrescente de velocidade reacional é:
Provas
Caderno Container