Foram encontradas 60 questões.
Durante o período de manutenção das usinas termonucleares, as mesmas passam a receber energia do sistema interligado nacional, para que o seu funcionamento essencial não deixe de ser suprido.
Apesar dessa segurança no fornecimento de energia elétrica, problemas podem ocorrer.
Para garantir energia elétrica no interior dessas usinas, durante 24h, geradores locais estão de prontidão para o suprimento, caso haja falta de energia elétrica (apagão).
No que se refere ao uso de geradores de emergência, analise os itens a seguir e assinale (V) para verdadeiro e (F) para falso.
( ) Utilizando combustíveis fósseis, grupos geradores síncronos de 8 polos garantem, diretamente, a continuidade operacional dos setores essenciais.
( ) Placas fotovoltaicas e turbinas eólicas, por serem renováveis e limpas, são as responsáveis pelo fornecimento aos setores imprescindíveis.
( ) Uma associação mista de baterias de íons de Lítio, com grande capacidade de potência, fornece diretamente energia ao primário dos transformadores.
( ) A tensão gerada nos casos de emergência tem de ser formada por uma onda com período de 16,66ms e amplitude nominal durante o período permanente.
A sequência correta de preenchimento dos parênteses, de cima para baixo, é
Provas
A figura a seguir representa um sistema de controle do gerador de uma usina termonuclear.

Para garantir os padrões de confiabilidade do sistema de geração de energia elétrica, um operador necessita de um padrão de comportamento determinado pelo sistema de controle atuante. Sobre o sistema de controle utilizado nos geradores das usinas termonucleares, analise os itens a seguir.
I. São utilizados sistemas de controle em malha fechada.
II. Sensores fornecem informações sobre as grandezas elétricas geradas, assim como sobre a velocidade instantânea do sistema.
III. Utilizam-se sistemas de controle nos quais o tipo de sinal na saída não tem aplicação sobre o controle na geração desejada.
IV. O sistema de controle indicado é o de malha aberta com sensores para identificar o comportamento da carga alimentada através do barramento.
Está correto o que se afirma em
Provas
Esse circuito lógico compõe uma das células básicas do microprocessador responsável pelo sinal de realimentação da excitação de um compensador síncrono.
Com o objetivo de controlar a potência reativa do compensador, o operador tem de garantir sinal 1 (um) nas entradas
Provas
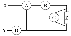
A figura a seguir é um circuito elétrico com medidores e alimentado nas extremidades XY.

Provas
O circuito é composto por R = 30Ω, L = 30H e C = 3μF. Após a conclusão do regime transitório a fonte de tensão alimentará o mesmo com uma corrente elétrica total, em ampère, no valor de
Provas
Esse circuito é responsável pela excitação do campo de uma máquina operatriz destinada ao corte de lâminas de aço.
O valor da corrente que fará a máquina funcionar corretamente, em mA, é
Provas
Rede Corrente Potência Tempo
220V 10A 1kW 5h
Considerando os valores medidos, a energia consumida, em kWh, foi
Provas
Uma determinada liga metálica possui R = 100Ω quando é apresentada como fio condutor com seção circular. Sobre o valor da resistência elétrica dessa liga, analise os itens a seguir:
I. A composição da liga afeta diretamente o valor da R.
II. Se dobrarmos apenas o comprimento do mesmo condutor, a R dobrará.
III. Se dobrarmos apenas o comprimento do mesmo condutor, a R passará a ter metade do valor inicial.
IV. Se dobrarmos apenas a seção transversal do mesmo condutor, a R dobrará.
V. Se dobrarmos apenas a seção transversal do mesmo condutor, a R passará a ter metade do valor inicial.
Está correto o que se afirma em
Provas
Sabendo-se que a tensão de alimentação de R vale 0,2kV, é correto afirmar que o valor da resistência elétrica, em ohms, responsável pelo efeito Joule vale
Provas
Sobre o campo elétrico e seu potencial criado pela eletrização em superfícies condutoras, analise os itens a seguir e assinale (V) para verdadeiro e (F) para falso.
( ) A eletrização estática ocorre somente em ferramentas que estão funcionando com corrente alternada.
( ) O fenômeno da eletrização ocorre quando um corpo eletricamente neutro é carregado por cargas elétricas.
( ) Os procedimentos para eletrizar um corpo neutro são o atrito, o contato e a indução.
( ) Um ambiente com blindagem eletrostática possui maior facilidade para se eletrizar.
A sequência correta de preenchimento dos parênteses, de cima para baixo, é
Provas
Caderno Container