Foram encontradas 60 questões.
Ventos verticais subsidentes de 216 km/h (60 m/s) sopram com a
força de um furacão em direção à entrada superior de um bunker
vertical subterrâneo de um complexo industrial, onde funcionários
se abrigam de desastres, inclusive os ambientais. O bunker possui
5 m de altura e o fundo é impermeável. A densidade inicial do ar
no interior do bunker é 1 kg m-3
.
Considerando a equação de conservação de massa escrita em termos da divergência do campo de velocidade, sob as assunções do contínuo aplicadas a um domínio discretizado, fluxo predominantemente vertical, escoamento 1-D, e desprezando trocas laterais e compressibilidade, além da implicada pela continuidade, assinale a alternativa que representa a taxa local de aumento da densidade do ar no bunker calculada pelo meteorologista que atua no complexo industrial.
Considerando a equação de conservação de massa escrita em termos da divergência do campo de velocidade, sob as assunções do contínuo aplicadas a um domínio discretizado, fluxo predominantemente vertical, escoamento 1-D, e desprezando trocas laterais e compressibilidade, além da implicada pela continuidade, assinale a alternativa que representa a taxa local de aumento da densidade do ar no bunker calculada pelo meteorologista que atua no complexo industrial.
Provas
Questão presente nas seguintes provas
A Comissão Reguladora Nuclear dos EUA (NRC) estabelece
metodologias distintas para a avaliação da dispersão atmosférica
em usinas nucleares, formalizadas em guias (Regulatory Guides –
RG - 1.111 e 1.145). Estes guias orientam o cálculo dos fatores de
concentração relativa (X/Q) essenciais para estimar doses
radiológicas e convencionais em receptores sensíveis. Como
exemplo de metodologias computacionais adotadas podemos
citar o modelo AERMOD, utilizado para efluentes atmosféricos
convencionais e que ajudou na tomada de decisões para
construção da usina de Angra III.
Assinale a opção que descreve corretamente a principal distinção e aplicação dessas duas metodologias da NRC e como elas se relacionam com o cálculo do X/Q.
Assinale a opção que descreve corretamente a principal distinção e aplicação dessas duas metodologias da NRC e como elas se relacionam com o cálculo do X/Q.
Provas
Questão presente nas seguintes provas
Um meteorologista de uma empresa foi solicitado a estimar a
intensidade do vento no nível da chaminé de uma fábrica, pois
uma operação de emissão de poluentes estava prestes a ocorrer.
Ao consultar os dados da torre meteorológica próxima, percebeu
que o sistema estava fora do ar. Sem alternativa, decidiu testar um
protótipo em desenvolvimento: um anemômetro embarcado em
um drone. O drone foi lançado e seguiu em direção ao norte com
velocidade de 50 m/s. No nível de voo, a intensidade do vento
aumenta em direção ao norte à razão de 0,03 m/s por quilômetro.
A bordo do drone, a intensidade do vento cresce à taxa de 36 m/s
por hora. Com base nesses dados, o meteorologista calculou a
tendência local da intensidade do vento, ou seja, a variação
temporal da intensidade medida por um observador quase-estacionário próximo ao drone, no instante em que ele se
aproximava da saída da chaminé.
Sabendo que a condição inicial de vento era nula e considerando um intervalo de 10 min, a velocidade estimada pelo meteorologista foi de
Sabendo que a condição inicial de vento era nula e considerando um intervalo de 10 min, a velocidade estimada pelo meteorologista foi de
Provas
Questão presente nas seguintes provas
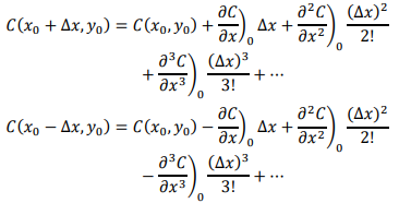
Em modelagem matemática, a resolução numérica das equações
diferenciais parciais que descrevem o transporte e dispersão de
poluentes na atmosfera – como o clássico modelo de pluma
gaussiana - frequentemente utiliza o método de diferenças finitas
que é facilmente programável nas mais diversas linguagens
computacionais. Tal abordagem, embora prática, é um tanto
contraditória, pois introduz uma representação de esquema
discreto de um meio que originalmente é considerado contínuo no
espaço e no tempo. O equacionamento dos esquemas
desenvolvidos pelo método de diferenças finitas baseia-se na
expansão em série de Taylor, conforme as expressões a seguir:
onde C é uma variável escalar, tal como a concentração de um poluente, x0 e y0 são os pontos centrais da grade e Δx é o espaçamento entre dois pontos adjacentes. Truncando as séries até os termos de terceira ordem e realizando as operações algébricas, obtém-se o esquema de diferenças centradas para derivada primeira.
Nesse caso, a equação diferencial parcial é aproximada pela equação em diferenças finitas somada a um erro de truncamento, cuja ordem de grandeza é
onde C é uma variável escalar, tal como a concentração de um poluente, x0 e y0 são os pontos centrais da grade e Δx é o espaçamento entre dois pontos adjacentes. Truncando as séries até os termos de terceira ordem e realizando as operações algébricas, obtém-se o esquema de diferenças centradas para derivada primeira.
Nesse caso, a equação diferencial parcial é aproximada pela equação em diferenças finitas somada a um erro de truncamento, cuja ordem de grandeza é
Provas
Questão presente nas seguintes provas
Um meteorologista trabalha em uma usina nucleoelétrica que
necessita monitorar a dispersão de poluentes radioativos. Ele
precisa modelar a turbulência e a dispersão vertical na camada
limite adequadamente, mas não sabe o valor da velocidade de
fricção (u*) sob condições de neutralidade atmosférica para o local
de interesse. Na torre anemométrica principal da usina, os
sensores foram instalados inicialmente nos dois níveis obrigatórios
determinados na Norma CNEN NN 1.22. Em um dia com condições
atmosféricas neutras, o meteorologista fez as seguintes medições:
velocidade do vento no nível mais próximo da superfície (z1): 6,2
m/s; e velocidade do vento no nível mais acima conforme Norma
CNEN NN 1.22 (z2): 9,8 m/s. O meteorologista, sem acesso a uma
calculadora e precisando de uma estimativa, lembrou-se da lei do
perfil logarítmico do vento para condições neutras: U(z) =
Ele assumiu que a constante de von Kármán (k) é 0,4, mas não arriscou estimar o valor do comprimento de rugosidade
(z0) por tabelas.
Diante das considerações e assumindo que o logaritmo neperiano de 6 é aproximadamente 1,8, realize as operações algébricas necessárias e assinale a opção que mais se aproxima do cálculo da velocidade de fricção estimada pelo meteorologista.
Diante das considerações e assumindo que o logaritmo neperiano de 6 é aproximadamente 1,8, realize as operações algébricas necessárias e assinale a opção que mais se aproxima do cálculo da velocidade de fricção estimada pelo meteorologista.
Provas
Questão presente nas seguintes provas
Um meteorologista experiente, sem o uso de instrumentos,
observa a pluma de fumaça de uma chaminé industrial em um dia
muito quente e ensolarado. Ele nota que a pluma apresenta um
comportamento ondulado e errático, com grandes oscilações
verticais, chegando ocasionalmente a atingir o nível do solo em
curtas distâncias conforme a figura abaixo.
Com base nessa observação, assinale a opção que apresenta a conclusão mais provável do meteorologista sobre o tipo de pluma e a estabilidade atmosférica local.
Com base nessa observação, assinale a opção que apresenta a conclusão mais provável do meteorologista sobre o tipo de pluma e a estabilidade atmosférica local.
Provas
Questão presente nas seguintes provas
Um algoritmo foi desenvolvido para estimar a intensidade do vento (U) em diferentes alturas (z) dentro da Camada Limite Atmosférica (CLA), a partir de valores simulados por um modelo de mesoescala, cujo ponto de grade fornece dados de vento a 50 m cima do nível do solo na região de um complexo industrial. O cálculo utiliza o fluxo de momento turbulento para determinar a velocidade de fricção (u*) e a escala de comprimento de rugosidade do terreno (z0). A extrapolação da intensidade do vento é feita pela expressão:
onde k é a constante de von Kármán, L é a escala de comprimento da teoria envolvida e ψm é a função de correção de estabilidade, que depende das condições térmicas da atmosfera (estável, neutra ou instável).
Assinale a opção que identifica corretamente a teoria utilizada no algoritmo.
Assinale a opção que identifica corretamente a teoria utilizada no algoritmo.
Provas
Questão presente nas seguintes provas
O XOQDOQ é um modelo computacional clássico de dispersão
atmosférica, desenvolvido para calcular rotineiramente a razão
entre concentração média de efluentes radioativos e a taxa de
liberação da fonte de emissão (X/Q), bem como a razão entre
deposição média para localizações específicas e para distâncias
radiais padrões à fonte de emissão (D/Q). Ele foi escrito em uma
linguagem científica bastante popular nas décadas de 1970 e 1980,
conhecida por sua eficiência em cálculos numéricos e
processamento de matrizes.
Observe o trecho a seguir, retirado de uma das rotinas do código-fonte do XOQDOQ a seguir:
Assinale a opção correta.
Observe o trecho a seguir, retirado de uma das rotinas do código-fonte do XOQDOQ a seguir:
Assinale a opção correta.
Provas
Questão presente nas seguintes provas
Com o objetivo de aprimorar o desenvolvimento de modelos
atmosféricos para a Comissão Nacional de Energia Nuclear (CNEN),
um meteorologista decidiu analisar o comportamento de modelos
simplistas, especificamente o que assume uma atmosfera
homogênea (densidade não varia com a altura). Ele determinou
que a combinação da equação hidrostática e da equação de
estado, comumente utilizada em Meteorologia, resulta em uma
atmosfera de altura finita que é função apenas da temperatura da
superfície. Para este modelo atmosférico, ele calculou a taxa de
variação da temperatura com relação à altura (gradiente térmico
vertical) usando constantes típicas, como a gravidade média global
(g = 9,81 ms-2
) e a constante específica do ar seco (Rd = 287 J K-1 Kg-1
). (Rd = 287 J K-1 Kg-1
).
O valor obtido, expresso em °C/(100 m), permitiu classificar a estabilidade atmosférica de acordo com a classe de Pasquill contida na norma CNEN NN 1.22, que foi
O valor obtido, expresso em °C/(100 m), permitiu classificar a estabilidade atmosférica de acordo com a classe de Pasquill contida na norma CNEN NN 1.22, que foi
Provas
Questão presente nas seguintes provas
Preocupado com a confiabilidade de um anemômetro digital que
seria usado em uma torre micrometeorológica, um meteorologista
recorreu ao Parque de Material de Eletrônica da Aeronáutica do
Rio de Janeiro, laboratório acreditado pela ISO/IEC 17025, para
realizar sua calibração. O instrumento foi calibrado em túnel de
vento, com velocidade nominal de 10 m/s. Durante o
procedimento, foram realizadas medições nos sentidos
ascendente e descendente para avaliar o erro de histerese: leitura
ascendente (subindo): 10,15 m/s; leitura descendente (descendo):
9,90 m/s; e valor de referência: 10,00 m/s.
Assinale a opção que apresenta o valor do erro de histerese no ponto de 10 m/s e a ação obrigatória que é exigida pela norma ISO 17025 em relação a esse valor.
Assinale a opção que apresenta o valor do erro de histerese no ponto de 10 m/s e a ação obrigatória que é exigida pela norma ISO 17025 em relação a esse valor.
Provas
Questão presente nas seguintes provas
Cadernos
Caderno Container