Foram encontradas 3.542 questões.
Um meteorologista descobriu que se uma pluma circular, de um determinado poluente convencional, de raio 200 km, centrada na linha do polo sul (90°), inicialmente em repouso em relação à Terra, for levada para linha do equador (0°), ao longo de uma superfície isobárica (barotropia), conservando a sua área, a circulação relativa em torno da circunferência, na latitude do equador C = Cf, pode ser calculada pela expressão derivada do teorema de Bjerknes: C = C0 − 2 Ω A(sen(latitudefinal) −s en(latitudeinicial)), onde C0 é a circulação inicial (no polo sul) e A é a área circular da pluma.
Sabendo que o valor da velocidade de rotação da Terra Ω é aproximadamente igual a 7,292 x 10-5 rad s-1 , e que por definição
é o vetor velocidade do vento e
é vetor variação infinitesimal ao longo da pluma circular, determine o
valor aproximado da velocidade tangencial da pluma e o tipo de
rotação que ela adquiriu.
Sabendo que o valor da velocidade de rotação da Terra Ω é aproximadamente igual a 7,292 x 10-5 rad s-1 , e que por definição
Provas
Questão presente nas seguintes provas
Uma indústria em Salvador – BA, construída a mais de 50 anos e situada a cerca de 20 km da linha de costa, está passando por um processo de modernização para atender as novas exigências tecnológicas e legislações vigentes. Entre as medidas, busca-se avaliar a dispersão dos poluentes na região, de forma a evitar impactos à saúde de uma comunidade de pescadores localizada mais adentro do continente, a aproximadamente 40 km da costa. Para isso, um meteorologista contratado pela indústria foi solicitado a estimar a aceleração do vento associado à brisa marítima. Sem dispor de um histórico de dados in situ, ele adotou um modelo simplificado de circulação da brisa e utilizou dados de satélite para estimar a temperatura média da camada de ar sobreo mar
e sobre a terra
. Além disso, ele determinou, por meio de GPS, a altura da célula de circulação da brisa (h) e a extensão horizontal da brisa (L).
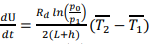
Considerando o teorema da circulação de Kelvin aplicado a uma circulação absoluta no plano vertical da brisa, dado por
é a constante dos gases para o ar seco, é a temperatura média da camada de ar e d(lnp) representa o diferencial do logaritmo natural da pressão (de p0 na superfície até p1 no nível h), determine a expressão da aceleração do vento associada à brisa marítima, sabendo que Ca: =
onde U é a velocidade do vento, dl é a variação infinitesimal ao longo do perímetro do circuito fechado, que representa a célula de circulação da brisa (vide figura) e α é o ângulo entre vetores U e dl.
Considerando o teorema da circulação de Kelvin aplicado a uma circulação absoluta no plano vertical da brisa, dado por
Provas
Questão presente nas seguintes provas
A instrutora de um curso de capacitação promovido por uma
indústria foi questionada por um dos alunos, funcionário do setor
ambiental, sobre o comportamento da pluma de um poluente
emitido por uma chaminé. Considerando uma atmosfera neutra e
seca, ela fez uma analogia comparando a pluma a um balão de ar
quente mantido estacionário a certa altura na atmosfera.
Solicitou, então, que os funcionários imaginassem duas colunas de
ar: uma do lado de fora e outra dentro do balão, sendo a coluna
interna ligeiramente mais alta a externa. A instrutora destacou
que, apesar da diferença de altura, a pressão é a mesma no topo
das duas colunas.
Assim, é correto afirmar que
Assim, é correto afirmar que
Provas
Questão presente nas seguintes provas
A norma CNEN NN 1.22 adota a classificação de estabilidade atmosférica de Pasquill-Gifford, baseada nas condições de turbulência e na estrutura térmica da Camada Limite Atmosférica. A seguir, estão representadas as curvas de Taxa de Variação Vertical da Temperatura (TVVT), também conhecida como lapse-rate, tanto do ambiente (Γ) quanto da parcela de ar (Γa).
Considerando a hipótese de uma atmosfera estática e seca, é correto afirmar que
Considerando a hipótese de uma atmosfera estática e seca, é correto afirmar que
Provas
Questão presente nas seguintes provas
A temperatura potencial é a temperatura que uma parcela de ar
teria se fosse expandida ou comprimida adiabaticamente de um
nível de pressão qualquer até um nível de pressão de referência
tomado como 1000 mb. Esse conceito é fundamental para
determinar a estabilidade atmosférica, que rege a dispersão de
poluentes. Nos gráficos abaixo é possível observar o
comportamento da temperatura potencial e o valor dos
respectivos gradientes.
De acordo com essas informações, assinale a opção correta para os itens I, II e III, respectivamente, desde que a afirmação associada a essa classificação também seja verdadeira.
De acordo com essas informações, assinale a opção correta para os itens I, II e III, respectivamente, desde que a afirmação associada a essa classificação também seja verdadeira.
Provas
Questão presente nas seguintes provas
Uma empresa que apoia um complexo de usinas nucleoelétricas
enviou um dos seus meteorologistas para um treinamento nos
Estados Unidos, com o objetivo de capacitá-lo e ampliar sua
experiência em diferentes regiões do planeta. Após algumas aulas
de Meteorologia Sinótica, foi aplicado um teste prático que
envolvia aspectos da circulação atmosférica. A figura a seguir
representa o campo de pressão ao nível médio do mar sobre os
Estados Unidos.
Considerando a aproximação geostrófica, assinale a opção que indica corretamente a direção do vento nos pontos I e II marcados na figura.
Considerando a aproximação geostrófica, assinale a opção que indica corretamente a direção do vento nos pontos I e II marcados na figura.
Provas
Questão presente nas seguintes provas
O esquema abaixo representa ventos horizontalmente
balanceados, ou seja, ventos que se aproximam do vento
realmente observado, seja em níveis superiores da atmosfera ou
em níveis da Camada Limite Atmosférica, no mesmo horário, em 6
pontos que simulam a localização de estações meteorológicas. Isso
faz parte da tecnologia de monitoramento adotado para subsidiar
a modelagem matemática da dispersão atmosférica de potenciais
poluentes e efluentes, conforme exigido pelas normas ambientais
e de segurança (incluindo diretrizes que se alinham à CNEN-NN3.01 para instalações nucleares). Observa-se que os pontos 1 e 4
estão sobre uma mesma isógona, assim como os pares de pontos
2-5 e 3–6. Além disso, notam-se isóbaras paralelas (linhas
contínuas) na região.
Com base nessas informações e nos princípios das escalas meteorológicas, assinale a opção correta.
Com base nessas informações e nos princípios das escalas meteorológicas, assinale a opção correta.
Provas
Questão presente nas seguintes provas
Durante o treinamento de técnicos em Meteorologia, o sábio
instrutor, atento à crescente preocupação com a qualidade do ar
nas grandes metrópoles, abordou a estrutura vertical da
atmosfera, destacando como ela influencia tanto a dispersão de
poluentes quanto o aproveitamento do vento para a instalação de
parques eólicos. Para ilustrar, apresentou um esquema da
estrutura vertical da Camada Limite Atmosférica (CLA) em
condição neutra, na qual podem ser observadas três regiões bem
definidas de acordo com o comportamento do perfil de velocidade
do vento. Em uma dessas regiões, o vento apresenta perfil
potencial; em outra, perfil logarítmico; e em outra, o perfil em
espiral, resultante da combinação entre funções trigonométricas e
exponencial.
Com base nessas informações, assinale a opção que indica corretamente a nomenclatura das regiões I, II e III, respectivamente.
Com base nessas informações, assinale a opção que indica corretamente a nomenclatura das regiões I, II e III, respectivamente.
Provas
Questão presente nas seguintes provas
Uma indústria química na periferia de São Paulo - SP enfrenta um
aumento inesperado na demanda por um produto, exigindo uma
produção contínua de alta intensidade nas próximas 24 horas. Para
atender à demanda e maximizar o lucro, a produção deve operar
com a capacidade máxima, o que resultará em uma emissão
significativa de poluentes pela chaminé. A diretoria da empresa,
preocupada com a imagem e com possíveis multas ambientais,
solicitou a um meteorologista que avalie se as condições
atmosféricas serão favoráveis à dispersão desses poluentes. Para
a análise e devido a um apagão de dados, o meteorologista utilizou
apenas dados de vento real em dois níveis atmosféricos distintos,
fora da Camada Limite Atmosférica, onde o vento geostrófico é
uma boa aproximação. Em 850 mb o vento sopra de sudoeste
(SW), com velocidade moderada e em 200 mb o vento sopra de
oeste (W), com velocidade maior que a do nível inferior.
Assinale a opção que representa a conclusão mais precisa do meteorologista sobre as condições para a emissão de poluentes pela chaminé.
Assinale a opção que representa a conclusão mais precisa do meteorologista sobre as condições para a emissão de poluentes pela chaminé.
Provas
Questão presente nas seguintes provas
Para explicar ao engenheiro que mecanismos de transporte de
poluentes em grande escala podem atuar independentemente da
altura da chaminé, o meteorologista-chefe elaborou o esquema a
seguir. Ele representa a circulação fechada anticiclônica do vento,
que sopra paralelamente às isolinhas de pressão ou altura
geopotencial, e se baseia no balanço de três forças.
Assinale a opção que indica o hemisfério em que o sistema atua, o tipo de vento indicado em I e as forças indicadas por II, III e IV, respectivamente.
Assinale a opção que indica o hemisfério em que o sistema atua, o tipo de vento indicado em I e as forças indicadas por II, III e IV, respectivamente.
Provas
Questão presente nas seguintes provas
Cadernos
Caderno Container