Magna Concursos

Foram encontradas 60 questões.

2299056 Ano: 2018
Disciplina: TI - Banco de Dados
Banca: UFSCAR
Orgão: UFSCAR
Provas:

Assinale a alternativa correta sobre o trecho de código SQL abaixo:

CREATE TABLE IF NOT EXISTS pedido (
codigo int(6) unsigned NOT NULL,
clcodigo int(6) unsigned NOT NULL,
PRIMARY KEY (codigo),
INDEX idxclcodigo (clcodigo),
FOREIGN KEY fkclcodigo (clcodigo)
REFERENCES cliente (codigo)
)

 

Provas

Questão presente nas seguintes provas
2299055 Ano: 2018
Disciplina: TI - Banco de Dados
Banca: UFSCAR
Orgão: UFSCAR
Provas:

Transação é uma unidade lógica de trabalho sobre um banco de dados, formada por uma sequência de operações que devem ser executadas integralmente para garantir a consistência e a integridade dos dados. Neste contexto, assinale a alternativa correta que define as propriedades ACID.

 

Provas

Questão presente nas seguintes provas
2299054 Ano: 2018
Disciplina: TI - Banco de Dados
Banca: UFSCAR
Orgão: UFSCAR
Provas:

Um Sistema Gerenciador de Bancos de Dados (SGBD) possui um conjunto de funções para o gerenciamento de operações de inserção, atualização e consulta de dados. A forma como os dados são organizados e as operações de manipulação aplicáveis são definidas pelo modelo de dados adotado. Neste contexto, assinale a alternativa incorreta:

 

Provas

Questão presente nas seguintes provas
2299053 Ano: 2018
Disciplina: TI - Desenvolvimento de Sistemas
Banca: UFSCAR
Orgão: UFSCAR
Provas:

Supondo que o vetor L utilizado no algoritmo abaixo armazene os números 1, 2, 3, 4, 5, 6, 7, 8, 9 e 10, assinale a alternativa correta que contém o retorno produzido após a sua execução.

Função (L[0...n])
c1 ← n
enquanto c1 > 0 faça
L[n - c1] ← c1 * 10
c1 ← c1 - 1
fim-enquanto
c2 ← n
soma ← 0
enquanto c2 > 0 faça
soma ← soma + L[c2]
c2 ← c2 - 2
fim-enquanto
retorna soma

 

Provas

Questão presente nas seguintes provas
2299052 Ano: 2018
Disciplina: TI - Desenvolvimento de Sistemas
Banca: UFSCAR
Orgão: UFSCAR
Provas:

Analise os trechos de código abaixo e assinale a alternativa correta:

Enunciado 3538836-1

 

Provas

Questão presente nas seguintes provas
2299051 Ano: 2018
Disciplina: TI - Desenvolvimento de Sistemas
Banca: UFSCAR
Orgão: UFSCAR
Provas:

Aplicações e serviços web reúnem diversos protocolos e formatos de dados como WSDL, JSON, XML, HTML, HTTP e SAOP para possibilitar a interoperabilidade de sistemas heterogêneos. Assinale a alternativa correta considerando as seguintes definições:

I - Objeto JavaScript que permite a troca de dados com o servidor de forma assíncrona;

II - Linguagem de marcação voltada à apresentação de documentos estruturados utilizando rótulos específicos;

III - Linguagem de meta-marcação com rótulos extensíveis para descrição de dados estruturados;

IV - Subconjunto da notação de objetos JavaScript.

 

Provas

Questão presente nas seguintes provas
2299050 Ano: 2018
Disciplina: TI - Desenvolvimento de Sistemas
Banca: UFSCAR
Orgão: UFSCAR
Provas:

Considere as afirmações sobre listas a seguir e assinale a alternativa correta.

I - O sucessor lógico de um elemento ocupa posição física consecutiva na memória;

II - Os elementos logicamente consecutivos não implicam elementos consecutivos na memória;

III - A alocação de memória é realizada em tempo de compilação;

IV - A alocação de memória é realizada em tempo de execução.

 

Provas

Questão presente nas seguintes provas
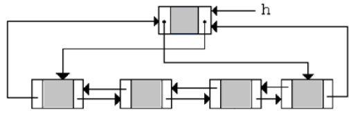
2299049 Ano: 2018
Disciplina: TI - Desenvolvimento de Sistemas
Banca: UFSCAR
Orgão: UFSCAR
Provas:

Assinale a alternativa que descreva corretamente o seguinte diagrama:

Enunciado 3538833-1

 

Provas

Questão presente nas seguintes provas
2299048 Ano: 2018
Disciplina: TI - Desenvolvimento de Sistemas
Banca: UFSCAR
Orgão: UFSCAR
Provas:

Uma matriz pode ser vista como um arranjo lógico de elementos disposto em uma lista de dados. Neste contexto, considerando a matriz abaixo contendo 3 linhas por 5 colunas representada em uma lista de 15 elementos, assinale a alternativa correta:

Enunciado 3538832-1

 

Provas

Questão presente nas seguintes provas
2299047 Ano: 2018
Disciplina: TI - Desenvolvimento de Sistemas
Banca: UFSCAR
Orgão: UFSCAR
Provas:

algoritmo abaixo explora a recursão para a solução de um problema. Assinale a alternativa que contenha o resultado correto considerando como valor inicial de V o número 5.

Calcula (V)
se V = 0 então
retorna 1;
senão
retorna (V * Calcula(V - 1))
fim-se

 

Provas

Questão presente nas seguintes provas