Foram encontradas 50 questões.
A durabilidade de uma estrutura de concreto armado depende da agressividade do meio, da espessura de cobrimento das armaduras e é altamente dependente das características do concreto. Em razão do exposto, pode-se afirmar que, em regiões de forte agressividade do meio,
Provas
Questão presente nas seguintes provas
Em todo projeto de estrutura de concreto armado deve constar o valor de sua resistência característica fck. Isso significa que
Provas
Questão presente nas seguintes provas
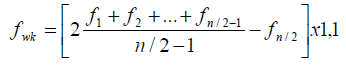
O valor característico da resistência à compressão paralela às fibras de um lote de peças de madeira deve ser estimado pela expressão

em que os resultados devem ser colocados em ordem crescente f1 < f2 < ...< fn, desprezando-se o valor mais alto se o número de corpos de prova for ímpar, não se tomando para fwk valor inferior a f1, nem a 0,70 do valor médio.
Uma estrutura de madeira foi projetada para a classe C40. Considerando que as amostras coletadas para determinação simplificada da resistência característica à compressão paralela às fibras apresentaram os valores (em MPa) de 36,0 - 56,0 - 52,0 - 49,0 - 57,0 - 53,0 - 54,0 - 55,0, é CORRETO afirmar:
Provas
Questão presente nas seguintes provas
No detalhamento de um elemento estrutural, há muitos aspectos em relação a diâmetro e posicionamento das barras que são escolhas pessoais do projetista, entretanto, por imposição da NBR6118, alguns aspectos devem ser necessariamente considerados e obedecidos. Assinale a opção CORRETA.
Provas
Questão presente nas seguintes provas
Em relação à aderência entre aço e concreto e ao comprimento necessário de ancoragem para as armações em estruturas de concreto armado, é CORRETO afirmar:
Provas
Questão presente nas seguintes provas
Por razões de segurança do trabalho, o tipo mais utilizado de fundação profunda é a estaca, havendo muitos tipos que se adequam a situações específicas relacionadas ao solo, à estrutura e às condições de vizinhança. Sobre estacas, é CORRETO afirmar:
Provas
Questão presente nas seguintes provas
O quadro da figura, submetido aos carregamentos apresentados, é composto de barras de mesmo material e mesma seção transversal. Na figura, os nós extremos das barras estão indicados pelas letras A, B, C e D. Sobre os esforços simples atuantes nas barras desse quadro, é CORRETO afirmar:

Provas
Questão presente nas seguintes provas
No dimensionamento de estruturas de concreto armado, o estado limite último por solicitações normais é caracterizado quando a distribuição das deformações na seção transversal corresponder aos domínios de 1 a 5 ou às retas a e b, sobre os quais é CORRETO afirmar:
Provas
Questão presente nas seguintes provas
Sobre o conceito, uso e configuração de um firewall, é INCORRETO afirmar que:
Provas
Questão presente nas seguintes provas
A sigla usada para representar os conjuntos de estratégias com o objetivo de potencializar e melhorar o posicionamento de um site nas páginas de resultados nos sites de busca é:
Provas
Questão presente nas seguintes provas
Cadernos
Caderno Container