Foram encontradas 50 questões.
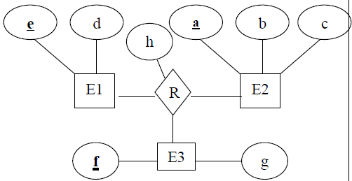
Observe o seguinte Modelo Entidade- Relacionamento.

Agora, considere as seguintes informações: 1ª) E1, E2 e E3 são conjuntos de entidades; 2ª) R é um conjunto de relacionamentos; 3ª) os atributos são representados pelas letras minúsculas "a" até "h", todos atômicos e monovalorados; 4ª) as chaves primárias estão sublinhadas. Portanto, as chaves primárias de E1, E2 e E3 são, respectivamente, {e}, {a} e {f}. Assinale a alternativa correta em relação ao mapeamento do Modelo Entidade-Relacionamento para o Modelo Relacional, sendo que nenhuma nova coluna e/ou chave poderá ser criada durante o mapeamento.
Provas
- Banco de Dados RelacionalTipos de ChavesChave Candidata
- Banco de Dados RelacionalTipos de ChavesChave Primária
- Banco de Dados RelacionalTipos de ChavesSuperchave
Em um Modelo Entidade-Relacionamento, considere um conjunto de entidades PessoaFisica com os seguintes atributos:
| PessoaFisica = {nome, sobrenome, altura, peso, cpf, rg, email} |
Sabe-se que os atributos são atômicos, monovalorados e não podem ser nulos, ou seja, são de preenchimento obrigatório. Considere que cada um dos atributos {cpf}, {rg} e {email} é único para cada pessoa física. Assinale a alternativa correta, em relação aos conceitos de superchave, chave, chave candidata e chave primária.
Provas
Analise a figura a seguir.

Assinale a alternativa correta em relação ao diagrama apresentado.
Provas
Em um Diagrama de Classe, existem relacionamentos que interligam as classes/objetos entre si, criando relações lógicas. A partir disso, analise a figura a seguir.

Assinale a alternativa correta em relação ao que foi demonstrado.
Provas
Observe a figura a seguir.

Com base nessa curva, assinale a alternativa verdadeira.
Provas
A Extreme Programming (XP) é talvez o mais conhecido e mais amplamente usado dos métodos ágeis. O nome se deve ao fato de que a abordagem foi desenvolvida pelo avanço do desenvolvimento iterativo e o envolvimento do cliente em níveis “extremos”. Dentro desse contexto, assinale a alternativa correta.
Provas
- Fundamentos de ProgramaçãoEstruturas de DadosEstrutura de Dados: Fila
- Fundamentos de ProgramaçãoEstruturas de DadosEstrutura de Dados: Vetor
Observe as seguintes considerações: 1ª) as operações de inserção e remoção de elementos do tipo inteiro, em uma fila circular, são, respectivamente ENQUEUE(Q, x) e DEQUEUE(Q), onde Q é a fila, e x, um elemento a ser inserido ou removido da fila; 2ª) toda fila tem início e fim; 3ª) após a operação DEQUEUE(Q), a posição onde estava o elemento retirado da fila torna-se vazia. Sobre uma fila Q, inicialmente vazia no vetor Q[1..5], assinale alternativa que resulta da seguinte sequência de operações: ENQUEUE(Q, 3), ENQUEUE(Q, 8), ENQUEUE(Q, 7), DEQUEUE(Q), ENQUEUE(Q, 1), DEQUEUE(Q), ENQUEUE(Q, 6), ENQUEUE(Q, 5).
Provas
O Scrum é um framework para desenvolvimento. Assinale, dentre as afirmações a seguir, a alternativa que NÃO se aplica ao Scrum.
Provas
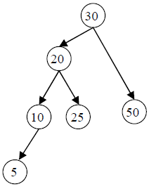
Considere as seguintes árvores binárias de busca.
| I | |
| II | |
| III | |
Assinale a alternativa que apresenta árvores balanceadas AVL?
Provas
Assinale a alternativa que apresenta a vantagem na construção de algoritmos compostos por módulos, ou seja, a construção de algoritmos por meio da modularização.
Provas
Caderno Container