Foram encontradas 780 questões.
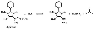
Os resíduos de medicamentos têm-se tornado os poluentes que mais afetam recursos hídricos. Entre eles se destacam os analgésicos. O ácido acetilsalicílico (HAS; M = 180,0 g/mol) é um analgésico cuja concentração em um comprimido pode ser determinada por titulação com NaOH, na presença de fenolftaleína. A proporção de NaOH para HAS na titulação é 1:1. A dipirona sódica, outro analgésico de grande interesse, dado o seu intenso uso pela população, sofre degradação de acordo com a reação representada a seguir.

Com base nessas informações, julgue o próximo item.
Considerando-se que 500 mg de comprimido de HAS tenham sido dissolvidos em água e que a titulação desse ácido com NaOH 0,100 mol/L tenha gasto 25,00 mL, é correto concluir que a porcentagem de HAS no comprimido é superior a 91%.
Provas
A respeito da tabela periódica e dos modelos atômicos, julgue o item seguinte.
O hélio é o único gás nobre que não tem 8 elétrons em sua camada de valência.
Provas
A respeito da tabela periódica e dos modelos atômicos, julgue o item seguinte.
Na tabela periódica moderna, não é utilizada a classificação semimetais.
Provas
A respeito da tabela periódica e dos modelos atômicos, julgue o item seguinte.
A eletronegatividade é a quantidade de energia envolvida no processo em que o átomo isolado em seu estado fundamental recebe um elétron.
Provas
A respeito da tabela periódica e dos modelos atômicos, julgue o item seguinte.
O modelo atômico de Bohr permitiu a Mendeleev estabelecer a tabela periódica.
Provas
A respeito da tabela periódica e dos modelos atômicos, julgue o item seguinte.
O carbono assume número de oxidação negativo quando ligado a metais fortemente eletropositivos, como no caso do CaC2.
Provas

Internet: <www.slidetodoc.com> (com adaptações).
Com base no gráfico precedente, que apresenta as solubilidades em água de algumas substâncias, e considerando que as massas molares do NaNO3 e do KCl valham, respectivamente, 85,00 g/mol e 74,6 g/mol, julgue o próximo item.
Em solução supersaturada, a concentração de soluto é superior à sua solubilidade a uma dada temperatura; mesmo assim, esse soluto permanece dissolvido após aquecimento e lento resfriamento do sistema.
Provas

Internet: <www.slidetodoc.com> (com adaptações).
Com base no gráfico precedente, que apresenta as solubilidades em água de algumas substâncias, e considerando que as massas molares do NaNO3 e do KCl valham, respectivamente, 85,00 g/mol e 74,6 g/mol, julgue o próximo item.
A 50 °C, uma solução de 100 mL que contém 80 g de KNO3 é classificada como insaturada.
Provas

Internet: <www.slidetodoc.com> (com adaptações).
Com base no gráfico precedente, que apresenta as solubilidades em água de algumas substâncias, e considerando que as massas molares do NaNO3 e do KCl valham, respectivamente, 85,00 g/mol e 74,6 g/mol, julgue o próximo item.
Uma solução de cloreto de potássio a 10 °C possui concentração em quantidade de matéria superior a 4,2 mol/L.
Provas

Internet: <www.slidetodoc.com> (com adaptações).
Com base no gráfico precedente, que apresenta as solubilidades em água de algumas substâncias, e considerando que as massas molares do NaNO3 e do KCl valham, respectivamente, 85,00 g/mol e 74,6 g/mol, julgue o próximo item.
Todos os compostos referenciados no gráfico apresentado são iônicos e apresentam elevadas temperaturas de fusão e ebulição.
Provas
Caderno Container