Foram encontradas 1.803 questões.
Julgue o item subsequente, relativos a temperatura de fusão, massa molar e temperatura de transição vítrea de plásticos.
Nos materiais poliméricos à base de copolímeros, como, por exemplo, polietilenos e polipropilenos semicristalinos, imperfeições nas cadeias poliméricas resultantes da inserção de uma segunda espécie monomérica conduzem a uma diminuição na temperatura de fusão desses materiais.
Nos materiais poliméricos à base de copolímeros, como, por exemplo, polietilenos e polipropilenos semicristalinos, imperfeições nas cadeias poliméricas resultantes da inserção de uma segunda espécie monomérica conduzem a uma diminuição na temperatura de fusão desses materiais.
Provas
Questão presente nas seguintes provas
Julgue o item subsequente, relativos a temperatura de fusão, massa molar e temperatura de transição vítrea de plásticos.
Valores baixos de massa molar média de materiais plásticos provenientes de polímeros orgânicos estão relacionados a valores altos de temperatura de transição vítrea.
Valores baixos de massa molar média de materiais plásticos provenientes de polímeros orgânicos estão relacionados a valores altos de temperatura de transição vítrea.
Provas
Questão presente nas seguintes provas
Julgue o item subsequente, relativos a temperatura de fusão, massa molar e temperatura de transição vítrea de plásticos.
A temperatura de transição vítrea de plásticos provenientes de copolímeros aleatórios independe da composição das cadeias poliméricas, com valores em uma faixa intermediária, compreendida entre as temperaturas de transição vítrea dos seus respectivos homopolímeros.
A temperatura de transição vítrea de plásticos provenientes de copolímeros aleatórios independe da composição das cadeias poliméricas, com valores em uma faixa intermediária, compreendida entre as temperaturas de transição vítrea dos seus respectivos homopolímeros.
Provas
Questão presente nas seguintes provas
Julgue o item a seguir, relativos ao tempo de residência e ao aumento de escala em processos de extrusão de materiais plásticos.
A introdução de blocos de amassamento aumenta o tempo de residência do material plástico na zona de processamento da extrusora.
A introdução de blocos de amassamento aumenta o tempo de residência do material plástico na zona de processamento da extrusora.
Provas
Questão presente nas seguintes provas
Julgue o item a seguir, relativos ao tempo de residência e ao aumento de escala em processos de extrusão de materiais plásticos.
A curva de distribuição de tempo de residência identificada pelo algarismo 1 no gráfico mostrado abaixo resulta do elemento de rosca representado pela letra A.

Provas
Questão presente nas seguintes provas
Julgue os itens a seguir, relativos ao tempo de residência e ao
aumento de escala em processos de extrusão de materiais plásticos.

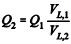
Em extrusoras com geometrias similares, operando com tempos de residência constantes, a relação entre capacidade de processamento e volume livre é expressa por
, em que Q1 e Q2 correspondem, respectivamente, à vazão mássica das extrusoras de menor e maior capacidade, e VL,1 e VL,2 são os volumes livres dos elementos de rosca, respectivamente, das extrusoras de menor e de maior capacidade.

Em extrusoras com geometrias similares, operando com tempos de residência constantes, a relação entre capacidade de processamento e volume livre é expressa por
Provas
Questão presente nas seguintes provas
Considerando que estratégias para promover a junção de materiais plásticos são bastante utilizadas no segmento industrial, julgue o item abaixo, acerca da tecnologia de ligação desses materiais por adesivo.
Em sistemas ternários, o adesivo, considerado um elemento de ligação, deve apresentar, como características desejáveis, a homogeneidade e a boa capacidade de molhar a superfície das peças que se pretenda juntar.
Em sistemas ternários, o adesivo, considerado um elemento de ligação, deve apresentar, como características desejáveis, a homogeneidade e a boa capacidade de molhar a superfície das peças que se pretenda juntar.
Provas
Questão presente nas seguintes provas
Julgue o item subsecutivo, a respeito do reaproveitamento de resíduos plásticos como fonte de matéria-prima na cadeia produtiva para a obtenção de novos materiais.
Reciclagem química se baseia no uso de processos químicos com a finalidade de quebrar as cadeias poliméricas, convertendo-as em compostos químicos básicos como monômeros e misturas de hidrocarbonetos.
Reciclagem química se baseia no uso de processos químicos com a finalidade de quebrar as cadeias poliméricas, convertendo-as em compostos químicos básicos como monômeros e misturas de hidrocarbonetos.
Provas
Questão presente nas seguintes provas
Julgue o item subsecutivo, a respeito do reaproveitamento de resíduos plásticos como fonte de matéria-prima na cadeia produtiva para a obtenção de novos materiais.
Reciclagem energética consiste na recuperação de energia por meio de tratamento químico primário de resíduos plásticos. A quebra das cadeias poliméricas resulta em materiais de elevado poder calorífico, que é empregado como combustível para fins de geração de energia.
Reciclagem energética consiste na recuperação de energia por meio de tratamento químico primário de resíduos plásticos. A quebra das cadeias poliméricas resulta em materiais de elevado poder calorífico, que é empregado como combustível para fins de geração de energia.
Provas
Questão presente nas seguintes provas
Julgue o item subsecutivo, a respeito do reaproveitamento de resíduos plásticos como fonte de matéria-prima na cadeia produtiva para a obtenção de novos materiais.
A reciclagem mecânica está associada à redução de tamanho e modificação do formato de resíduos plásticos e à remoção de contaminantes. Durante esse processo de reciclagem, a estrutura química básica dos resíduos plásticos permanece inalterada.
A reciclagem mecânica está associada à redução de tamanho e modificação do formato de resíduos plásticos e à remoção de contaminantes. Durante esse processo de reciclagem, a estrutura química básica dos resíduos plásticos permanece inalterada.
Provas
Questão presente nas seguintes provas
Cadernos
Caderno Container