Foram encontradas 38 questões.
A figura abaixo mostra um circuito com amplificador operacional ideal. A tensão máxima (de pico) na tensão de saída será dada por:

Assinale a alternativa CORRETA.
Provas
Questão presente nas seguintes provas
- EletrotécnicaAnálise de Circuitos Elétricos
- EletrônicaCircuitos de Corrente Contínua em Eletroeletrônica
Dado o circuito abaixo, assinale a alternativa que CORRESPONDE à potência na fonte.


Provas
Questão presente nas seguintes provas

Provas
Questão presente nas seguintes provas
A elaboração de projetos de instalações elétricas é orientada pela utilização de símbolos gráficos e parâmetros que são descritos pelas normas técnicas geridas pela Associação Brasileira de Normas Técnicas (ABNT) como a NBR-5444 e NBR-5410, por exemplo. De acordo com essa normatização e de acordo com o extrato de um diagrama unifilar apresentado abaixo, todas as alternativas estão corretas, EXCETO uma, assinale-a.


Provas
Questão presente nas seguintes provas
Considere o flip-flop e o diagrama de tempos apresentado abaixo:

De acordo com o funcionamento do flip-flop em questão, todas as alternativas estão corretas, EXCETO uma, assinale-a.
Provas
Questão presente nas seguintes provas
De acordo com o circuito apresentado, classifique como V verdadeiras ou F falsas as afirmações a seguir, considerando que o Dz tem as seguintes características: tensão zener de 3,3V e corrente zener de 20mA.

( ) O dido zener está operando na região ativa. 
( ) A corrente total do circuito será de aproximadamente 31 mA.
( ) O diodo zener está operando na região de ruptura.
( ) A corrente máxima suportada pelo diodo zener será 33mA.
( ) A potência mínima do resistor RS deverá ser de ¼ W.
Assinale a alternativa que apresenta a sequência CORRETA, de cima para baixo.
Provas
Questão presente nas seguintes provas
- EletrotécnicaAnálise de Circuitos Elétricos
- EletrônicaCircuitos de Corrente Contínua em Eletroeletrônica
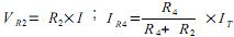
Considerando o circuito apresentado abaixo:

Qual relação descreve a tensão no resistor R2 (VR2) e a corrente no resistor R4 (IR4), respectivamente? 
Assinale a alternativa CORRETA.
Provas
Questão presente nas seguintes provas
Um equipamento utilizado para medição da qualidade do fornecimento de energia está conectado à rede elétrica de 220V/60Hz em uma subestação. Internamente, esse equipamento possui um circuito de condicionamento e aquisição de sinal na entrada, fazendo uso de um resistor tipo Shunt, para medição da corrente, e um circuito amplificador para medição da tensão. Com base no funcionamento do resistor Shunt, julgue as afirmativas a seguir.
1. A corrente que circula pelo resistor Shunt pode ser medida pelo equipamento porque essa corrente gera uma diferença de potencial (DDP) e pode ser relacionada com a corrente através da Lei de Ohm.
2. A corrente que circula pelo resistor Shunt é defasada da tensão porque o Shunt possui características indutivas para manter a baixa amplitude de tensão.
3. A corrente que circula pelo resistor Shunt pode ser medida pelo equipamento porque é diretamente proporcional à tensão gerada no mesmo.
4. O circuito com o resistor Shunt é um amperímetro do tipo medidor d´Arsonval (Galvanômetro) porque a corrente que circula pelo resistor gera um campo magnético que aciona uma bobina ligada ao ponteiro de medição.
Assinale a alternativa que apresenta as afirmativas CORRETAS.
1. A corrente que circula pelo resistor Shunt pode ser medida pelo equipamento porque essa corrente gera uma diferença de potencial (DDP) e pode ser relacionada com a corrente através da Lei de Ohm.
2. A corrente que circula pelo resistor Shunt é defasada da tensão porque o Shunt possui características indutivas para manter a baixa amplitude de tensão.
3. A corrente que circula pelo resistor Shunt pode ser medida pelo equipamento porque é diretamente proporcional à tensão gerada no mesmo.
4. O circuito com o resistor Shunt é um amperímetro do tipo medidor d´Arsonval (Galvanômetro) porque a corrente que circula pelo resistor gera um campo magnético que aciona uma bobina ligada ao ponteiro de medição.
Assinale a alternativa que apresenta as afirmativas CORRETAS.
Provas
Questão presente nas seguintes provas
Um transistor NPN está ligado em configuração emissor comum. A base do transistor está conectada diretamente a uma fonte de tensão VB . O coletor está conectado a uma fonte de tensão Vc através de um resistor de coletor. O emissor está conectado a um resistor de emissor que, por sua vez, está conectado ao terra comum do circuito. Com base na configuração apresentada para o transistor NPN, julgue as asserções a seguir.
“O circuito é caracterizado como fonte de corrente
PORQUE
há uma fonte de tensão alimentando a base do transistor.”
Assinale a alternativa CORRETA.
“O circuito é caracterizado como fonte de corrente
PORQUE
há uma fonte de tensão alimentando a base do transistor.”
Assinale a alternativa CORRETA.
Provas
Questão presente nas seguintes provas
Resistores, indutores e capacitores são componentes eletrônicos passivos utilizados comumente em circuitos eletrônicos. Com relação a esses componentes, leia com atenção as afirmações a seguir e marque V para as verdadeiras e F para as falsas.
( ) A impedância de um capacitor tem módulo dado por Z = 1/(ωC) e ângulo de 90º.
( ) Um resistor apresenta impedância dada por Z = R e ângulo de 0º.
( ) A reatância indutiva, característica de um indutor, aumenta com o aumento da frequência.
( ) Nos resistores com coeficiente positivo de variação de temperatura, a resistência aumenta à medida que a temperatura aumenta.
( ) As perdas no cobre de um indutor são ocasionadas pela resistência do fio e pela reatância indutiva do componente.
Assinale a alternativa que contém a sequência CORRETA de cima para baixo:
( ) A impedância de um capacitor tem módulo dado por Z = 1/(ωC) e ângulo de 90º.
( ) Um resistor apresenta impedância dada por Z = R e ângulo de 0º.
( ) A reatância indutiva, característica de um indutor, aumenta com o aumento da frequência.
( ) Nos resistores com coeficiente positivo de variação de temperatura, a resistência aumenta à medida que a temperatura aumenta.
( ) As perdas no cobre de um indutor são ocasionadas pela resistência do fio e pela reatância indutiva do componente.
Assinale a alternativa que contém a sequência CORRETA de cima para baixo:
Provas
Questão presente nas seguintes provas
Cadernos
Caderno Container