Foram encontradas 616 questões.
- Banco de Dados RelacionalTipos de ChavesChave Estrangeira
- Modelagem de DadosAtributos
- Modelagem de DadosEntidades
- Modelagem de DadosFundamentos de Modelagem de Dados
Em relação aos fundamentos de modelagem de dados é correto afirmar, EXCETO:
Provas
Questão presente nas seguintes provas
Considerando a estrutura de um banco de dados relacional, adote a tabela empregados abaixo para responder a questão

Informe qual das instruções SQL abaixo representa corretamente o resultado da consulta “Exiba os nomes de todos os funcionários cujo nome tem duas letras E no departamento 30 ou cujo gerente seja 7698”. 
Provas
Questão presente nas seguintes provas
Abaixo é apresentada uma estrutura conceitual de um banco de dados relacional, contendo as tabelas funcionarios,departamentos e seus respectivos campos. Na tabela funcionarios o campo cod_func é definido como chave primária e o campo cod_depto é definido como chave estrangeira. Na tabela departamentos o cod_depto é definido como chave primária. Utilize essas informações para responder
as questão.

Provas
Questão presente nas seguintes provas
Considerando a estrutura de um banco de dados relacional, adote a tabela empregados abaixo para responder a questão

Assinale a alternativa que representa corretamente uma consulta SQL para exibir o número de pessoas com o mesmo cargo. 
Provas
Questão presente nas seguintes provas
O trecho de código abaixo apresenta algumas diretivas de configuração de um servidor de páginas web, apache2, executando em um Sistema Operacional Linux.

Assinale a alternativa INCORRETA acerca da configuração descrita acima:

Assinale a alternativa INCORRETA acerca da configuração descrita acima:
Provas
Questão presente nas seguintes provas
- LinuxEstrutura de Diretórios do Linux/proc
- LinuxKernel do Linux
- Sistemas de ArquivosFundamentos sobre Sistema de Arquivos
Qual das opções abaixo apresenta corretamente o sistema de arquivos padrão do LINUX, para a seguinte afirmativa: "é um sistema de arquivos ilusório. Na verdade ele não existe em um disco rígido. É criado em memória pelo kernel, sendo usado para disponibilizar informações sobre o sistema.":
Provas
Questão presente nas seguintes provas
Acerca do sistema de arquivos padrão do sistema operacional Linux é correto afirmar, EXCETO:
Provas
Questão presente nas seguintes provas
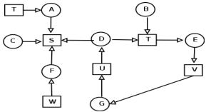
A situação de deadlock pode ser modelada a partir do uso de grafos dirigidos. O arco de um recurso (nodo quadrado) para um processo (nodo em círculo) indica que o recurso foi previamente requisitado, alocado e que está atualmente sendo usado pelo referido processo. Um arco de um processo para um recurso indica que o processo está correntemente bloqueado esperando pelo referido recurso.
Analise o grafo de alocação de recurso acima e marque a alternativa CORRETA que apresenta os processos que estão em situação de deadlock.

Analise o grafo de alocação de recurso acima e marque a alternativa CORRETA que apresenta os processos que estão em situação de deadlock.

Provas
Questão presente nas seguintes provas
- Gerenciamento de MemóriaPaginação de Memória
- Gerenciamento de MemóriaSegmentação de Memória
- Gerenciamento de ProcessosSwapping (Troca de Processos)
- LinuxMemória no Linux
Associe os itens da coluna 1 com as definições relativas aos sistemas operacionais Linux apresentadas na coluna 2.
Coluna 1 (1) Swapping (2) Memória virtual (3) Paginação (4) Working set (5) Segmentação Coluna 2( ) é o conjunto de páginas constantemente referenciadas pelo processo, devendo permanecer na memória principal para que execute de forma eficiente. ( ) é a técnica de gerência de memória onde o espaço de endereçamento virtual e o espaço de endereçamento real são divididos em blocos do mesmo tamanho. ( ) consiste em trazer totalmente cada processo para a memória, executá-lo durante um certo tempo e então devolvê-lo ao disco.
( ) é a técnica de gerência de memória, onde os programas são divididos logicamente em sub-rotinas e estrutura de dados e colocados em blocos de informação na memória.
( ) permite que programas possam ser executados mesmo que estejam apenas parcialmente carregados na memória principal.
É CORRETA a seguinte associação:
Provas
Questão presente nas seguintes provas
Em relação ao NFS (Sistema de Arquivo de Rede) é correto afirmar, EXCETO:
Provas
Questão presente nas seguintes provas
Cadernos
Caderno Container