Foram encontradas 80 questões.
A conexão entre as linhas elétricas de 18 kV e 380/220 V é realizada por meio de um transformador trifásico estrela-estrela. A relação de espiras entre os enrolamentos primário (18 kV) e secundário (380/220 V) é de
Provas
Questão presente nas seguintes provas
- Circuitos ElétricosCircuitos CACircuitos Trifásicos
- Sistemas Elétricos de PotênciaAnálise de SEPAnálise de Curto-circuitos
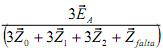
Em um sistema elétrico trifásico ocorreu um curto-circuito em uma das fases para o terra. Sabe-se que a tensão no ponto da falta é igual a
A e que essa falta ocorreu por meio de uma impedância falta
falta. Considerando que as impedâncias dos equivalentes de Thévenin de sequência zero, positiva e negativa vistas da falta são respectivamente iguais a
0 ,
1 e
2 , a corrente de curto-circuito, em ampères, é igual a
A e que essa falta ocorreu por meio de uma impedância falta
falta. Considerando que as impedâncias dos equivalentes de Thévenin de sequência zero, positiva e negativa vistas da falta são respectivamente iguais a
0 ,
1 e
2 , a corrente de curto-circuito, em ampères, é igual aProvas
Questão presente nas seguintes provas
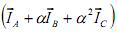
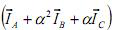
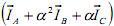
Um sistema trifásico possui as correntes de fases iguais a
A,
B e
C . A alternativa que apresenta corretamente os componentes simétricos de sequências zero, positiva ou negativa (
0 ,
1 ou
2 ) em função dessas correntes de fases é
A,
B e
C . A alternativa que apresenta corretamente os componentes simétricos de sequências zero, positiva ou negativa (
0 ,
1 ou
2 ) em função dessas correntes de fases éProvas
Questão presente nas seguintes provas
Uma bobina com 200 espiras e resistência elétrica de 20 ? possui um formato quadrado de lado igual a 4 cm. Esta bobina está imersa de forma perpendicular em um campo magnético uniforme de 1 T. Subitamente ela é retirada perpendicularmente ao campo magnético para uma região sem a ação desse campo. Sabendo-se que o tempo dessa retirada é de 0,2 s, a corrente elétrica induzida nessa bobina, em mA, é igual a
Provas
Questão presente nas seguintes provas
Um no-break em série com um conversor CC/CA, de potência e tensão nominais no lado CC de 15 kVA e 50 Vcc, alimenta uma instalação elétrica. O banco de baterias desse no-break tem uma capacidade de 20 Ah. Sabe-se que, durante a ausência de energia elétrica, o no-break supre a instalação com 15 kVA. O tempo máximo para que a energia seja restabelecida, sem que a instalação fique desassistida de energia, de
Provas
Questão presente nas seguintes provas
A tabela a seguir apresenta os tempos de execução das atividades de um projeto, referentes ao diagrama de rede PERT-CPM.

O tempo de execução desse projeto, em unidades de tempo (u.t.), é igual a

O tempo de execução desse projeto, em unidades de tempo (u.t.), é igual a
Provas
Questão presente nas seguintes provas
Uma fonte senoidal de 21 V alimenta um circuito composto por um resistor de resistência 3 Ω e um capacitor de reatância 4 Ω. A corrente elétrica nesse circuito é de
Provas
Questão presente nas seguintes provas
A figura abaixo apresenta um circuito de acionamento de motor.

Nesse circuito, ao acionar a botoeira

Nesse circuito, ao acionar a botoeira
Provas
Questão presente nas seguintes provas
Uma instalação elétrica que possui em sua entrada um transformador de 1.000 kVA e 20 kV de tensão de linha, recebe energia da concessionária local. Para que o projetista calcule o nível de curto-circuito nos diversos pontos da instalação, necessita determinar a reatância reduzida do sistema, que é a reatância entre a fonte supridora e o ponto de entrega da instalação. A corrente de curto-circuito na entrada da instalação é igual a 1.000 A e a tensão de linha da alimentação igual a 20.000 V.
Sabendo-se que a potência e tensão de bases escolhidas são os dados de placa do transformador de entrada da instalação, a reatância reduzida desse sistema é, em p.u., igual a
Sabendo-se que a potência e tensão de bases escolhidas são os dados de placa do transformador de entrada da instalação, a reatância reduzida desse sistema é, em p.u., igual a
Provas
Questão presente nas seguintes provas
Observe em seguida um sistema trifásico estrela-estrela desequilibrado ligado a três fios.

Considere as seguintes afirmativas abaixo a respeito desse sistema:
I. A tensão de fase da carga é igual ao da tensão de fase da fonte.
II. A potência em cada carga monofásica que compõe a carga trifásica é igual a 1/3 da potência trifásica.
III. O somatório das correntes de fases no neutro da carga será igual a zero.
Assinale - se

Considere as seguintes afirmativas abaixo a respeito desse sistema:
I. A tensão de fase da carga é igual ao da tensão de fase da fonte.
II. A potência em cada carga monofásica que compõe a carga trifásica é igual a 1/3 da potência trifásica.
III. O somatório das correntes de fases no neutro da carga será igual a zero.
Assinale - se
Provas
Questão presente nas seguintes provas
Cadernos
Caderno Container