Foram encontradas 70 questões.
Provas
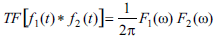
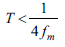
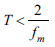
A TF da questão a seguir será utilizada nas questões de números 47 a 49.

Provas
A TF da questão a seguir será utilizada nas questões de números 47 a 49.
Assinale a alternativa correta relacionada com as propriedades de deslocamento em frequência e deslocamento em tempo da transformada de Fourier (TF), respectivamente.
Considere a TF definida como na Questão 47, e que, ω0 e t0 são constantes quaisquerProvas
A TF da questão a seguir será utilizada nas questões de números 47 a 49.

Provas
Considerando dois guias laminares (slabs) quaisquer, paralelos, assinale que condições devem ser satisfeitas para que esse arranjo funcione como um acoplador óptico direcional.
Provas
O fenômeno que garante o funcionamento dos acopladores ópticos direcionais é o de
Provas
A transformada de Fourier de funções do tipo gaussiana, retangular e constante são, respectivamente, funções do tipo
Provas
Existem três janelas no espectro que são utilizadas nos sistemas de comunicações ópticas, as quais estão centradas em 870 nm, 1 300 nm e 1 550 nm. Assinale a afirmativa correta associada a essas três janelas.
Provas
Nos sistemas de comunicações por fibra óptica, a distância dos enlaces sem repetidoras para transmissões em altas taxas é limitada principalmente pelo fenômeno de
Provas
Na primeira metade dos anos 80 surgiu a terceira janela de operação nas comunicações ópticas à fibra, centrada em 1,55 micrometros. Essa janela passou a ser a mais utilizada, principalmente em sistemas de longa distância, a partir da primeira metade dos anos 90. Uma das principais causas foi a invenção do
Provas
Caderno Container