Foram encontradas 170 questões.
Provas
Analise o programa Delphi abaixo:
program Project1; {$APPTYPE CONSOLE}
uses
SysUtils;
var
a: Array [1..3,1..3] of integer; i,j: integer;
begin
for i:=1 to 3 do begin
for j:=3 downto 1 do begin
a[i,j] := abs(i-j); write(‘a[‘ + inttostr(i) + ‘,’ +
inttostr(j) + ‘] := ‘ + inttostr(a[i,j]) + ‘ ‘);
end; writeln(‘’);
end;
end.
Está CORRETA a opção que corresponde à saída gerada pelo programa:
Provas
I. Um Diagrama de Interação mostra a interação entre um conjunto de objetos e seus relacionamentos, incluindo as mensagens que poderão ser trocadas entre eles.
II. Diagramas de Sequência e Diagramas de Colaboração são Diagramas de Interação e modelam aspectos dinâmicos de sistemas.
III. Diagramas de Colaboração dão ênfase à ordenação temporal das mensagens trocadas entre os objetos.
Marque a alternativa CORRETA:
Provas
- LinguagensJavaJPA: Java Persistence API
- LinguagensJavaJTA: Java Transaction API
- Servidores de AplicaçãoJ2EE/Java EE
I. Um servidor de aplicação disponibiliza um ambiente para a instalação e execução de determinadas aplicações. Os servidores de aplicação web também são conhecidos como middleware.
II. JPA é uma API que padroniza o acesso a banco de dados através de mapeamento Objeto/Relacional dos Enterprise Java Beans.
III. JTA é uma API que padroniza o tratamento de transações dentro de uma aplicação Java.
Marque a alternativa CORRETA:
Provas
- Arquitetura e Design de SoftwareSOA: Arquitetura Orientada a Serviço
- Interoperabilidade e IntegraçãoWeb ServicesSOAP
- Interoperabilidade e IntegraçãoWeb ServicesWSDL
( ) WSDL é um padrão de linguagem utilizado para definir fuxos de execução envolvendo serviços distintos dentro de um processo.
( ) SOAP é um protocolo que define um padrão para troca de mensagens para dar suporte à comunicação entre serviços.
( ) UDDI fornece informações sobre provedores de serviços, os serviços fornecidos por um provedor e a localização da descrição dos serviços.
( ) BPEL é um padrão de linguagem para definição de serviços Web que descreve as interfaces oferecidas pelos serviços.
Assinale a opção com a sequência CORRETA, de cima para baixo.
Provas
- Arquitetura e Design de SoftwareArquitetura de Sistemas de Informação
- LinguagensJavaServlets
- Servidores de AplicaçãoEJB: Enterprise JavaBeans
- Servidores de AplicaçãoJ2EE/Java EE
Provas
Em relação aos problemas, para os quais são definidas soluções, usando padrões de projeto (design patterns), correlacione as colunas a seguir:
|
Padrão |
Problema/Solução |
|
I. Adaptador (GoF adapter) II. Objeto unitário (GoF singleton) III. Composto (GoF composite) IV. Fachada(GoF facade) |
( ) Problema: Permitir apenas uma instância de uma classe. Solução: Definir um método estático que retorne o objeto. ( ) Problema: Usar uma interface comum e unificada para um conjunto não uniforme de implementações ou interfaces dentro de um subsistema. Solução: Definir um único ponto de contato através de um objeto com uma única interface unificada, responsável por colaborar com os componentes do subsistema. ( ) Problema: Como tratar um grupo de objetos (polimorficamente), da mesma forma que um objeto atômico? Solução: Definir classes para os grupos e para os objetos atômicos para que eles implementem a mesma interface. ( ) Problema: Como resolver o problema de interfaces incompatíveis? Solução: Converter a interface original de um componente em outra interface usando um objeto intermediário. |
Está CORRETA a seguinte sequência de respostas, de cima para baixo:
Provas

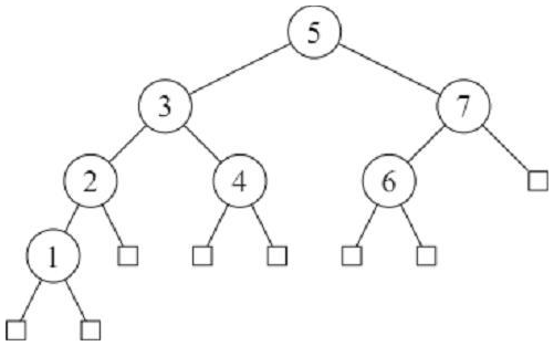
I. A árvore de pesquisa é binária.
II. Percorrer a árvore, usando caminhamento central recupera as chaves 1, 2, 3, 4, 5, 6, 7, nesta ordem respectiviamente.
III. A árvore de pesquisa está balanceada.
Marque a alternativa CORRETA:
Provas
Provas
I. Uma página JSP é um documento texto que contém dados estáticos em formato HTML e XML, por exemplo, e elementos JSP que constroem o conteúdo dinâmico.
II. Os elementos JSP em uma página JSP podem ser expressos nas sintaxes padrão e XML, embora em um dado arquivo, pode-se usar somente uma das sintaxes.
III. Uma página JSP em sintaxe XML é um documento XML que pode ser manipulado pelas ferramentas e APIs para documentos XML. Além disso, pode ter um jsp:root como elemento raiz.
Marque a alternativa CORRETA:
Provas
Caderno Container